Action Alert! Federal deployment is expected in Chicago this week, which could include separate branches of the Department of Homeland Security, Homeland Security Investigations (HSI) or Immigration and Customs Enforcement (ICE).


With increased immigration action taking place in Chicago and across Illinois, it's important that you know your rights! Ensure you are in compliance with existing regulations and protect your employees and operations.


If ICE is conducting an I-9 audit, which is a formal inspection to determine if an employer has correctly completed and maintained Form I-9 for all employees to confirm their identity and eligibility to work, they will present an administrative subpoena along with a Notice of Inspection (NOI). The company is typically given 72 hours to respond to a NOI.


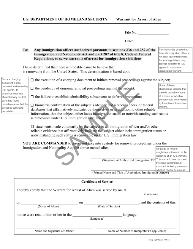
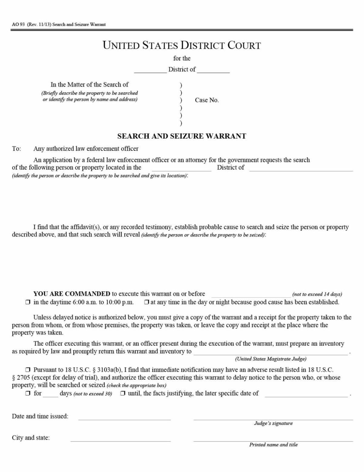
If ICE or HSI are conducting a “raid” as opposed to an audit, then they may ask to enter private areas of a business. Immigration enforcement officers are permitted to enter any public areas of your workplace, but must have a valid warrant signed by a judge (a judicial warrant) to enter any private areas of the premises. Unlike a judicial warrant signed by a judge, an ICE administrative warrant does not authorize entry into private areas of a business without the business owner’s consent and it does not establish probable cause under the 4th amendment.


Below you will find an example of an administrative warrant vs. a judicial warrant. Click each image for a full-size version.

Administrative Warrant

Sample administrative warrant

Judicial Warrant

Sample judicial warrant

Steps to Take to Prepare for an ICE Raid, I-9 Audit or HSI Investigation

  1. Have a written action plan in place. Have a meeting with managers to review best practices/legal rights and then review with the staff at line up. Particular importance is hosts and anyone near the door. Go over what should be done in case ICE comes to your place of business, there is an I-9 audit, or HSI investigation
  2. Ensure a manager is present near the door entrances at all hours you are open. I.e., no sitting in offices while staff are getting ready for their am shift/during breaks/pm. 
  3. Make sure you have labeled your restaurant areas that are not part of the public areas “private” so if ICE is on premises, they cannot enter these areas without a proper judicial warrant
  4. Provide a “know your rights” training session for all of your staff.
  5. Pass out legal rights cards to all employees so they can take them out of their pocket if need be. You can find printable legal rights cards in 41 languages here.
  6. Find qualified immigration counsel to advise you in the event any of the above happens.


The City of Chicago expects protests, so please be prepared. We will keep you informed.


Click here to see employer resources from the American Business Immigration Coalition (ABIC).


Click here to see the "Know Your Rights" brochure from the American Immigration Lawyers Association (AILA).

IRA Corporate Sponsors
Facebook  Instagram  Twitter  Linkedin