Dear Parents:

We have some exciting news to share! OLMCA filed an application for
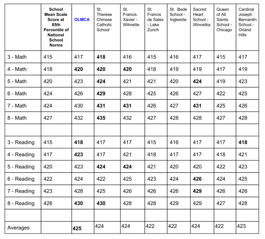
recognition by the U.S. Department of Education as an Exemplary Blue Ribbon School in December 2018. In order to apply in the Exemplary High-Performing Schools category (recognizing model schools to be emulated nationwide) a school must have standardized test scores placing it in the highest 15% of schools in the nation. OLMCA's test scores exceed that requirement, likely placing OLMCA in the top 5%-10% of schools, if not higher.  For those who like to see the data, take a look at the chart below comparing OLMCA's scores to the Blue Ribbon cutoff scores and to those of last year's Catholic Blue Ribbon schools within the Archdiocese of Chicago - OLMCA has the highest average test score, even among these Exemplary Blue Ribbon Schools! 

If you have ever wondered how we do it at OLMCA, take a look at the Blue Ribbon application we submitted by clicking here. The application provides a detailed look into OLMCA's curriculum, culture, demographic makeup, educational diversity, and special programs.

Blue Ribbon winners will be named the week of September 23, 2019 and invited to Washington for the Blue Ribbon Schools ceremony in November with the Secretary of Education. We believe our chances of winning our second Blue Ribbon award are excellent, but the real achievement is that, not only do we have an exceptional community of supportive, caring parents, but our children are undoubtedly receiving an education of the highest quality.

OLMCA was named a National Blue Ribbon School of Excellence by the U.S. Deptartment of Education in 2013. A school may reapply for this distinction every five years.  Since the award's creation in 1982, only three other Chicago elementary schools, private OR public, have ever been honored with this national distinction twice !
_____

Comparison of OLMCA 2018 ACT Aspire test scores to the Blue Ribbon Schools cutoff score and to scores of 2018 Blue Ribbon recognized schools within the Archdiocese of Chicago.

The BR Cutoff Scores define the upper 15% of schools nationwide.

High scores for each subject/grade level are bolded.