OPTIONS: June 24, 2022
June 24, 2022

Please always note the dates of the articles in the options commentary stream that follows this article. We hope you find this format helpful. Performance is hypothetical and no trading is taking place.

By The Valuentum Team

Hi everyone:

With the half year mark to 2022 nearing, we wanted to provide an update on "performance" tracking across a variety of our publications. In case you missed them, please find the year-to-date evaluations of the simulated Best Ideas Newsletter portfolio, the Exclusive capital appreciation and short idea considerations, as well as the simulated High Yield Dividend Newsletter portfolio for your convenience.
 
 
 

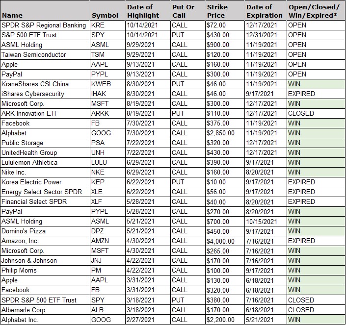
We've also updated the "performance" tracking of the options ideas generation for your review in the table above, and we'll be releasing "results-oriented" commentary on the simulated Dividend Growth Newsletter portfolio and ESG Newsletter portfolio in the coming days.

Today, we're releasing the first two options ideas for the month of June 2022 and closing the April 2022 put idea Tesla (TSLA) for a very nice "win." Based on data from YahooFinance, the bid/ask spread upon opening of the Tesla puts in April was $99.35/$101.10; today the bid ask spread is $150.45/$152.55, good for a near-50% hypothetical "gain." We're very pleased with this "winner."
Image Shown: Shares of Vertex Pharmaceuticals Inc (blue line) have been on a powerful upward climb year-to-date and we are huge fans of the biotech firm. Pivoting to the Health Care Select Sector SPDR Fund ETF (orange line), shares of the XLV ETF have significantly outperformed the S&P 500 on a price-only basis year-to-date. We view the capital appreciation upside of both Vertex Pharma and the XLV ETF quite favorably.

With that said, we’re highlighting the first and second options ideas for the month of June 2022. The first is long call options on Vertex Pharmaceuticals Inc (VRTX) with a $310 strike price that expire October 21, 2022. We caution that while these options have seen significant trading activity of late, relatively speaking, there is a large bid-ask spread and liquidity concerns could potentially arise in the future.

Vertex Pharma is one of our favorite biotech firms as its portfolio of treatments for cystic fibrosis (‘CF’), which have been approved by regulators across the world, generate substantial cash flows that the company utilizes to invest in innovative new medications. That includes a potential non-opioid pain treatment (the NaV1.8 inhibitor VX-548) which is currently undergoing clinical trials. Additionally, Vertex Pharma and its partners are pursuing several gene editing therapies via cutting edge CRISPR technologies that we covered in detail in this August 2021 article (link here).

Beyond Vertex Pharma’s stellar drug development pipeline, which we appreciate, the biotech firm is also a cash flow generating powerhouse courtesy of its CF drug portfolio. From 2019-2021, the firm’s average annual free cash flows came in at ~$2.3 billion. The company does not pay out a common dividend at this time though it has historically repurchased a meaningful amount of its stock, a capital allocation policy management intends to continue going forward after approving a $1.5 billion buyback program in June 2021 that lasts through December 2022.

Furthermore, Vertex Pharma has a pristine balance sheet. At the end of March 2022, the firm had $8.2 billion in cash, cash equivalents, and current marketable securities on hand with no short-term debt and $0.5 billion in noncurrent finance lease liabilities on the books. The rock-solid financial position provides Vertex Pharma with ample firepower to repurchase “gobs” of its stock while still being able to invest heavily in the business.
Image Shown: Vertex Pharma has a fortress-like balance sheet. Image Source: Vertex Pharma – 10-Q SEC filing covering the First Quarter of 2022

Vertex Pharma’s GAAP revenues were up 22% year-over-year, and its GAAP operating income was up 17% year-over-year in the first quarter of this year due to strong demand for its CF portfolio and its pricing power, though the biotech company has been steadily stepping up its investments in the business to commercialize its drug development pipeline. Its potential VX-147 treatment for APOL1-mediated kidney disease is the farthest along the clinical trial process and we have been monitoring events closely on this front.

Our fair value estimate for Vertex Pharma currently stands at $271 per share though please note that the top end of our fair value estimate range sits at $366 per share. Additionally, we are currently in the process of updating our coverage of the health care sector, and there is a very good chance Vertex Pharma’s fair value estimate, and the top end of its fair value estimate range, will get revised higher.

Shares of VRTX have been on a powerful upward climb of late after rising ~26% year-to-date as of this writing. We view Vertex Pharma’s capital appreciation upside potential quite favorably. To read more about Vertex Pharma, please check out our June 2022 article covering our latest thoughts on the biotech firm (link here).

Pivoting to our second options idea for the month of June 2022, we are highlighting long call options on the Health Care Select Sector SPDR Fund ETF (XLV) with a $132 strike price that expire December 16, 2022. We will stress here that while these options have seen significant trading activity of late and the bid-ask spread is moderate but not reasonable, liquidity concerns could arise in the future should market activity shift elsewhere.

We have consistently stated that our view on the U.S. economy, keeping myriad headwinds in mind, is bullish. As things stand today, U.S. GDP in real terms will likely post positive growth in 2022. With that in mind, during times of economic turbulence, the health care sector is an attractive place to look for high-quality ideas with strong economic moats (patented drug portfolios represented by essential therapeutics) and stellar cash flow generating abilities. On a price-only basis, the XLV ETF is down ~9% year-to-date while the S&P 500 (SPY) is down ~21% year-to-date as of this writing.

The top ten holdings within the XLV ETF as of the end of March 2022 can be viewed in the upcoming graphic down below. Please note that the top two holdings, UnitedHealth Group Inc (UNH) and Johnson & Johnson (JNJ), are two of our favorite ideas in the health care sector and represented ~18% of the XLV ETF’s total holdings at the end of the first quarter of this year. Additionally, the XLV ETF also had a modest amount of exposure to Vertex Pharma as of June 22, 2022.
Image Shown: The XLV ETF has a meaningful amount of exposure to our favorite ideas within the health care sector. Image Source: XLV ETF – Website

Recently, the “panic selling” seen in U.S. equity markets has started to calm down and trading activity appears to be stabilizing. There is ample room for capital appreciation upside potential in the health care sector, and the XLV ETF is a solid way to capitalize on that. We hope you enjoy the two new options idea considerations for the month of June 2022, as well as our latest "performance" update in table format. We're available for any questions, and thank you for your membership to our additional options commentary.

Please always note the dates of the articles in the options commentary stream that follows this article.

Always our very best,


The Valuentum Team
www.valuentum.com

Please note that with options trading, investors can lose their entire premium. Don't ever trade with money that you can't afford to lose. Valuentum is an investment research publisher and accepts no liability for how readers may choose to utilize the content. By continuing with your additional options commentary membership, you accept our Terms and Conditions. If you do not agree with the Terms and Conditions, you must stop using this service and cancel your additional options commentary membership.
May 27, 2022

Please always note the dates of the articles in the options commentary stream that follows this article. We hope you find this format helpful. Performance is hypothetical and no trading is taking place.

Good morning everyone!

Today, we’re highlighting the second set of options ideas for the month of May. We think the markets may be getting back on track as investors grow more comfortable with expectations regarding the trajectory of interest rates, inflation, and the global economy. In case you missed our latest take on the markets, it can be accessed here.

What this means, in our view, is that the markets may be due for a huge rally, and one of the best ways to trade around this theme for risk-seeking traders is via long calls on ultra-leveraged long ETFs. Though these are very, very risky and “wasting” assets—volatility generally erodes their price over long periods of time—for short-term traders, opportunities can sometimes present themselves, and these ultra-risky ETFs may offer a positive risk/reward at this time.

Again, it’s worth reiterating, the third and fourth option ideas for the month of May are very speculative ones and only may be considerations for the ultra-aggressive trader that is willing to take tremendous risks. Warren Buffett has noted in the past that derivatives are “financial weapons of mass destruction,” so derivatives on ultra-leveraged ETFs means that extreme caution with these financial instruments should be in order.

With that said, our third option idea consideration for the month of May is long call options on the ProShares UltraPro S&P500 (UPRO) with a strike price of $47.50 and expiration date of June 17, 2022. Along the same lines, our fourth option idea consideration for the month of May is long call options on the ProShares Ultra Dow30 (DDM) with a strike price of $66 and an expiration date of June 17, 2022. Interested readers should watch the price of these options contracts like a hawk, as they are sure to be volatile as the market whipsaws and as their expiration date nears.

In our latest market update to investors, we noted that market pessimism has seemed to have reached extreme levels by some measures, and we’re thinking this may present a near-term opportunity for the ultra-speculative options trader that is willing to take big risks. Options on ultra-leveraged ETFs are definitely not for everyone, but we think long call options on the UPRO and the DDM could make sense from a risk/reward standpoint at this time. Once again, please be careful dabbling with “financial weapons of mass destruction” on ultra-leveraged investment vehicles.

We’re available for any questions and have a wonderful Memorial Day Weekend!

Please always note the dates of the articles in the options commentary stream that follows this article.

Always our very best,

The Valuentum Team
www.valuentum.com

Please note that with options trading, investors can lose their entire premium. Don't ever trade with money that you can't afford to lose. Valuentum is an investment research publisher and accepts no liability for how readers may choose to utilize the content. By continuing with your additional options commentary membership, you accept our Terms and Conditions. If you do not agree with the Terms and Conditions, you must stop using this service and cancel your additional options commentary membership.
Image Shown: Shares of Netflix Inc (blue line) have performed poorly during the past three months, and we see some room for downside in the near term. On the other hand, shares of Paramount Global (orange line) have been on a nice upward climb of late, and we view its near term capital appreciation upside potential quite favorably.

May 25, 2022

Please always note the dates of the articles in the options commentary stream that follows this article. We hope you find this format helpful. Performance is hypothetical and no trading is taking place.

Dear members:

In case you missed our prior email today, it can be accessed here.

Today, we're highlighting the first and second options ideas for the month of May 2022. The first is long put options on Netflix Inc (NFLX) with a $180 strike price that expire September 16, 2022. Shares of Netflix have been pummeled since April 19, when the video streaming firm posted its first-quarter 2022 earnings report that saw its global paid subscribers drop by 0.2 million on a sequential basis.

Even worse, Netflix guided for its global paid subscriber base to drop by another 2 million on a sequential basis in the second quarter of this year. After years and years of strong paid subscriber growth, Netflix's growth is now slowing as many of its core markets mature while the firm contends with rising competitive threats. The company’s operating income and operating margin are also expected to shift lower this quarter on a sequential basis as its revenue growth slows, even as the need to invest heavily in original content remains. Netflix has responded by attempting to keep a lid on original content investments, where possible, while also rationalizing the size of its workforce.
Image Shown: Netflix’s guidance for the second quarter of 2022 was incredibly weak, which saw shares of NFLX tank on the news. Image Source: Netflix – First Quarter of 2022 Letter to Shareholders

Historically, Netflix’s cash flow performance has been inconsistent (it generated negative free cash flows in 2019 and 2021, and positive free cash flows in 2020). The firm exited March 2022 with a net debt load of $8.5 billion with no short-term debt on the books (though it has ample liquidity with $6.0 billion in cash and cash equivalents on hand at the end of this period). The company has its work cut out for it, however, as it attempts to limit “password sharing” activities in a bid to grow its paid subscriber base.

Though we generally like the area of large cap growth in the long run, ongoing pressure on shares of NFLX may be probable in the coming months, in our view, as management attempts to right the ship and investors continue to evaluate their thesis on the company. NFLX may ebb and flow with the market, but shares may find it difficult to establish any meaningful and sustained upward momentum until management can get things back on track.

Our second options idea for May 2022 is long call options on Paramount Global (PARA) with a $35 strike price that expire September 16, 2022. Paramount is pushing into the video streaming space with its Paramount+ and Pluto TV services, and the company also stands to benefit from households returning to the movie theaters in droves as the worst of the coronavirus (‘COVID-19’) pandemic fades. The company’s next big movie is Top Gun Maverick, a sequel to the popular 1986 flick Top Gun.

In the first quarter of 2022, Paramount+ added 6.8 million subscribers, which brought its total subscriber base up to ~40 million. Paramount+ is a paid video streaming service while Pluto TV is a free ad-supported video streaming service. Both have performed well of late, though the level of success that Paramount+ is able to achieve will have a larger impact on the company’s financial performance.

Paramount had a net debt load of $11.5 billion at the end of March 2022 (inclusive of a negligible amount of short-term debt), which is a concern, though its $5.3 billion in cash and cash equivalents on hand provides it with ample liquidity to continue scaling up the business. Unlike Netflix, Paramount is a consistent cash flow generator. From 2019-2021, Paramount generated ~$1.2 billion in free cash flow per year on average, making managing its net debt load while investing in original content and expanding its video streaming services an easier task financially.

Furthermore, a recent SEC filing noted that Warren Buffett’s Berkshire Hathaway Inc (BRK.A) (BRK.B) had taken a sizable equity stake in Paramount. We are inclined to agree with Berkshire Hathaway on this front and view Paramount’s near-term capital appreciation upside quite favorably.

Please let us know if you have any questions.

Please always note the dates of the articles in the options commentary stream that follows this article.

Always our very best,

The Valuentum Team
www.valuentum.com

Please note that with options trading, investors can lose their entire premium. Don't ever trade with money that you can't afford to lose. Valuentum is an investment research publisher and accepts no liability for how readers may choose to utilize the content. By continuing with your additional options commentary membership, you accept our Terms and Conditions. If you do not agree with the Terms and Conditions, you must stop using this service and cancel your additional options commentary membership.
Image Shown: Shares of Microsoft Corporation (blue line) have regained their upward momentum over the past week while shares of Tesla Inc (orange line) have seen their technical performance deteriorate significantly of late.

April 29, 2022

Please always note the dates of the articles in the options commentary stream that follows this article. We hope you find this format helpful. Performance is hypothetical and no trading is taking place.

Dear members:

Today, we're highlighting our third and fourth options ideas for the month of April 2022. The first is long call options on Microsoft Corporation (MSFT) with a $300 strike price that expire August 19, 2022. On April 26, the tech giant put up a rock-solid earnings report for the period ended March 31, 2022, which beat both consensus top- and bottom-line estimates. During the related earnings call, management issued favorable guidance for the final quarter of Microsoft’s current fiscal year and guided for the company’s strong performance to continue into fiscal 2023.

Microsoft’s cloud-oriented operations remained a bright spot last fiscal quarter, which helped drive its GAAP revenues 18% higher on a year-over-year basis, while its significant pricing power helped the firm stay ahead of inflationary pressures. The company’s GAAP operating margin was up almost 40 basis points year-over-year last fiscal quarter, reaching ~41.3%, while its GAAP operating income climbed higher 19% year-over-year. Microsoft generated $47.4 billion in free cash flow during the first three quarters of fiscal 2022 and exited March 2022 with a $54.8 billion net cash position (inclusive of short-term debt).

We covered Microsoft’s latest earnings update and outlook in our April 27 article Microsoft Soars, Strong Revenue Growth Continues Unabated, which we strongly encourage our members to check out (link here). Here is a key excerpt from that article (the following four paragraphs):

[During Microsoft’s fiscal third quarter earnings call, management issued favorable guidance for the company’s fiscal fourth quarter performance. More importantly, Microsoft communicated to investors that its growth story should continue in earnest heading into fiscal 2023 (emphasis added):

“With that context in place, let’s turn to our Q4 outlook. In our largest quarter of the year, we expect our differentiated market position, customer demand across the solution portfolio, and consistent execution to drive another strong quarter of revenue growth. In commercial bookings, a growing Q4 expiry base, strong execution across our core annuity sales motions, and increased commitment to our platform should drive healthy growth against a strong prior year comparable…

We expect to close FY22, even in a more complex macro environment, with the same consistency we have delivered throughout the year. With strong revenue growth, share gains, and improved operating margins as we invest in the areas that are key to sustaining that growthAs we look toward FY23, our track record of delivering high value to our customers across many diverse and durable growth markets gives us confidence that we will drive continued healthy double-digit revenue and operating income growth.” --- Amy Hood, CFO of Microsoft

We appreciate that Microsoft has been and expects to continue firing on all cylinders.]

Our fair value estimate for shares of MSFT, under valuation assumptions we deem reasonable, sits at ~$330 per share, which is well above where Microsoft’s stock price is trading at as of this writing. The top end of our fair value estimate range sits at $398 per share of Microsoft. Shares of MSFT have regained their upward momentum of late, and we view its near-term capital appreciation upside potential quite favorably.

Our fourth options idea for the month of April 2022 is long put options on Tesla Inc (TSLA) with a $850 strike price that expire August 19, 2022. There is a lot to like about Tesla, though its strong financial performance and bright growth outlook is already reflected in its share price, and the technicals of its stock have deteriorated meaningfully of late. Elon Musk, a major Tesla shareholder as well as its CEO, is in the process of acquiring Twitter Inc (TWTR) through an all-cash deal worth ~$44 billion. Part of the financing scheme reportedly involves pledging $12.5 billion of his Tesla stock to secure a margin loan. Additionally, Musk has been selling a modest portion of his Tesla holdings of late.

The deal to acquire Twitter is clearly a distraction for someone already running two large enterprises (Tesla, SpaceX) and either running or playing an active role at other enterprises (The Boring Company, Neuralink, OpenAI). Additionally, Tesla is operating in an environment where traditional automakers are increasingly betting the barn on electric vehicles (‘EVs’), raising the competitive stakes. Tesla is also contending with headwinds at its Gigafactory Shanghai operations in the wake of lockdowns due to China’s zero coronavirus (‘COVID-19’) strategy.

We see room for shares of TSLA to continue drifting lower in the near term with our fair value estimate sitting at $816 per share and the lower end of our fair value estimate range sitting at $530 per share of Tesla.

These represent the second set of options ideas for the month of April 2022. Please let us know if you have any questions.

Be sure to note the dates of the articles in the options commentary stream that follows this article.

Our very best,

The Valuentum Team
www.valuentum.com

Please note that with options trading, investors can lose their entire premium. Don't ever trade with money that you can't afford to lose. Valuentum is an investment research publisher and accepts no liability for how readers may choose to utilize the content. By continuing with your additional options commentary membership, you accept our Terms and Conditions. If you do not agree with the Terms and Conditions, you must stop using this service and cancel your additional options commentary membership.
Image Shown: Shares of iShares US Home Construction ETF have fallen sharply in recent months, and we see room for additional downside.

April 27, 2022

Please always note the dates of the articles in the options commentary stream that follows this article. We hope you find this format helpful. Performance is hypothetical and no trading is taking place.

Dear members:

Today, we're highlighting the first and second options ideas for the month of April 2022. The first is long call options on the Dutch semiconductor equipment company ASML Holding NV (ASML) with a $700 strike price that expire October 21, 2022. ASML Holding makes the photolithography systems used to produce cutting edge chips, and the company has exposure to numerous secular tailwinds, which underpins its bright outlook.

We covered our thoughts on ASML Holding in our recent note ESG Newsletter Portfolio Idea ASML Holding May Further Boost Longer Term Guidance that we strongly encourage our members to check out (link here). The company has a pristine balance sheet (nice net cash position), stellar free cash flow generating abilities, a large backlog, and ample pricing power. According to its latest earnings update, ASML Holding may further increase its longer-term growth guidance in the wake of strong demand for its offerings (demand has been vastly stripping supply of late, a dynamic that is not expected to abate anytime soon).

Here is what we had to say on ASML Holding in our April 2022 article covering the name:
What really stood out in ASML Holding’s latest earnings update is management’s commentary regarding the longer-term guidance the firm put out during its September 2021 Investor Day event. For reference, the firm guided to generate annual revenues of approximately €24-€30 billion and a gross margin of approximately 54%-56% by (likely fiscal) 2025 and noted that there would be substantial growth opportunities after this period as well. In fiscal 2021, ASML Holding generated €18.6 billion in GAAP net sales and a GAAP gross margin of 52.7%. ASML Holding sees room for 11% annual revenue growth from (likely fiscal) 2020-2030.

ASML Holding is now “looking at [the] feasibility of further increasing (its) capacity beyond what (it) presented during (its) September 2021 Investor Day” event according to its latest earnings presentation. This is primarily due to strong demand for its offerings and the various secular tailwinds supporting demand growth for high-end chips and thus its most advanced photolithography systems (along with mature chips and its older offerings as well). Again, we would like to stress that at the high-end of the photolithography systems market, ASML Holding has a virtual monopoly.

Furthermore, the company noted “in light of the demand and (its) plans to increase capacity, (it) expect(s) to revisit (its) scenarios for 2025 and growth opportunities beyond. (It) plan(s) to communicate updates in the second half of the year” according to ASML Holding’s latest earnings presentation. We are excited by the potential that the firm will announce an upward revision to its longer-term guidance.

All things considered, a potential positive catalyst for shares of ASML is the pending update of its longer-term growth guidance, which could have an incredibly powerful impact on its stock price. We are bullish on ASML Holding and view both its near and longer term capital appreciation upside favorably. The company is quite shareholder friendly and utilizes its strong financial position to return cash to shareholders via a modest dividend program and sizable share repurchases.

Our second options idea for the month of April 2022 is long put options on iShares U.S. Home Construction ETF (ITB) with a $55 strike price that expire October 21, 2022. Surging 30-year mortgage rates and skyrocketing home prices are making it difficult for many US households to afford purchasing either a new or existing home. In turn, that is pressuring the holdings included in the ITB ETF.

According to Bankrate, the average 30-year US mortgage stands north of 5% on a nationwide basis which is up sharply from the ~3% rate seen at the end of 2021. The National Association of Realtors (‘NAR’) notes that in March 2022, the median existing home price in the US hit its highest level ever, coming in north of $375,000. Sales of existing homes dropped in March 2022 on a year-over-year basis according to NAR as a combination of rising home prices and mortgage rates took their toll.

The three largest holdings in the ITB ETF at the end of March 2022 were the homebuilders D.R. Horton Inc (DHI), Lennar Corporation (LEN), and NVR Inc (NVR) which combined represented about 35% of the ETF’s total holdings at the end of this period. Shares of DHI and LEN are down 30%+ year-to-date and shares of NVR are down 25%+ year-to-date as of this writing as investors are pricing in headwinds from inflationary pressures, labor shortages, supply chain hurdles, and most importantly, a decline in new home sales. We see room for the ITB ETF, and its various holdings, to fall further as mortgage rates are unlikely to fall significantly for at least the foreseeable future.

These are the first two ideas for the month of April 2022. Please let us know if you have any questions.

Please always note the dates of the articles in the options commentary stream that follows this article.

Always our very best,

The Valuentum Team
www.valuentum.com

Please note that with options trading, investors can lose their entire premium. Don't ever trade with money that you can't afford to lose. Valuentum is an investment research publisher and accepts no liability for how readers may choose to utilize the content. By continuing with your additional options commentary membership, you accept our Terms and Conditions. If you do not agree with the Terms and Conditions, you must stop using this service and cancel your additional options commentary membership.
April 11, 2022

Please always note the dates of the articles in the options commentary stream that follows this article. We hope you find this format helpful. Performance is hypothetical and no trading is taking place.

Dear options commentary members:

Trust you all are doing great!

Many of our options commentary ideas continue to be long call options ideas, as we seek to capitalize on what we believe will be continued strength in the equity markets during the back half of this year and into 2023. There are myriad headwinds to this bullish underlying thesis, but big-cap company fundamentals remain strong, and we think this will become evident during first-quarter 2022 earnings season, which will be here before we know it.

The latest Valuentum Weekly, released last night, has a plethora of fundamental information and commentary related to several of our open option idea considerations, not the least of which is long call options on Meta Platforms (FB) with a $250 strike price that expire June 17, 2022, long call options on PayPal Holdings (PYPL) with a $130 strike price that expire September 16, 2022, and long call options on the ProShares UltraPro QQQ ETF (TQQQ) with a $65 strike price that expire June 17, 2022.

In case you missed it, the Valuentum Weekly email, released April 10, can be downloaded at the following link, "Weekly: We're Bullish on This Self-Inflicted Market Sell-Off."

The long call options on Meta Platforms and the ProShares UltraPro QQQ ETF were released February 11 (the theses on these ideas can be found in the commentary stream below related to that date), and the long call option idea on PayPal was released a couple weeks ago, as shown in the article that immediately follows this one. We believe that Meta Platforms and PayPal remain very attractive considerations, and we recently dug into the details in our latest work.


We think the market is paying attention to all of the wrong things. Certainly, interest rates are important and Fed rate hikes could dampen growth, but the reality is that interest rates are still at all-time lows, and we doubt that the Fed will do anything to impact the wealth effect it fought so hard to preserve during the depths of the COVID-19 pandemic. The Fed is helping guide these markets, and we think people are overreacting to their "corrective" measures to ensure long-term market health.

Broad market indexes that are top-heavy ("overweight") some of the strongest, big-cap tech names has been surfaced as another concern, but the reality is that we're okay with some of the indexes overweighting some of the best ideas. There's a reason why the S&P 500 (SPY) is down a modest ~6% this year, while some of the more speculative names such as in the ARK Innovation ETF (ARKK) are down almost 40% year-to-date. One ETF is overweight great companies with huge net cash positions and strong free cash flow generating abilities, while the other is overweight speculative names that are built on "castles in the air."

Stocks such as Apple (AAPL), Microsoft (MSFT), Alphabet (GOOG) (GOOGL), Amazon (AMZN), and Meta Platforms are huge companies with large market capitalizations for a tangible reason, too: They aren't overpriced bid up by speculators that have hope as a strategy, but rather they have excellent net cash rich, free cash generating, moaty business models tied to long-term secular growth trends, all of which offer fundamental support to their prices! We'd go so far as to say that we're huge fans of the overweighting of large cap growth in most broad market indexes, as it has and will likely continue to benefit investors tremendously!

The inflation fear-mongers are out in full force. When it comes to inflation, however, it could be a positive or negative depending on the company. Strong large cap growth entities are in a great position to price their products ahead of the rate of inflation, while some consumer staples entities with large net debt positions may struggle given possible consumer trade-down impacts. Within the context of enterprise valuation, we view the concept of inflation as practically equivalent to "pricing power" for companies that have it. That can be a good thing.
Image: "Gross domestic product (GDP), the featured measure of U.S. output, is the market value of the goods and services produced by labor and property located in the United States." Image Source: BEA.
Above is a long-term chart of the gross domestic product (GDP) of the United States in the post-World War II period. The shaded areas are recessions. You can see how far we have come from the depths of the Great Financial Crisis in 2008-2009, and how far we've come from the COVID-19 shutdowns. The United States' economy is roaring, and while nominal GDP may be impacted by stronger levels of inflation, again, that is not necessarily a bad thing for companies that can manage their cost structure effectively to drive real earnings expansion.

We're not expecting a recession anytime soon, but one thing is clear: The United States' economy has emerged stronger from the worst economic collapse since the Great Depression in the Great Financial Crisis, and the United States' economy has emerged stronger from the worst health crisis since the Flu Pandemic of 1917-1918 in the COVID-19 outbreak. We doubt a recession in the United States is on the horizon, but if it is, the United States' economy will bounce back and bounce back stronger. Any impact from a modest recession is also largely captured within the fair value estimate ranges of many of our valuation models, too, so we're not panicking at all.

With all this said, we're making a number of housekeeping moves with respect to our previously-released options ideas. We have a number of options ideas that will expire April 14, 2022, including long calls on Laredo Petroleum (LPI), Callon Petroleum Company (CPE), Qualcomm (QCOM), and Republic Services (RSG). Though these ideas have at times looked like they might work out, we've ran out of time, and we're going to 'close' them to preserve any residual value that may be remaining. These 'closes' will be reflected in the updated table that tracks our options ideas generation in a coming update.

Stay tuned for the first two options ideas for the month of April in the coming days. We hope you are enjoying your additional options commentary membership, and if we can be of any assistance, please just let us know. Always our very best!

Kind regards,

The Valuentum Team
www.valuentum.com

Please note that with options trading, investors can lose their entire premium. Don't ever trade with money that you can't afford to lose. Valuentum is an investment research publisher and accepts no liability for how readers may choose to utilize the content. By continuing with your additional options commentary membership, you accept our Terms and Conditions. If you do not agree with the Terms and Conditions, you must stop using this service and cancel your additional options commentary membership.
Image Shown: Shares of Apple Inc (blue line) and PayPal Holdings Inc (orange line) have been on a nice upward trend in recent weeks.

March 31, 2022

Please always note the dates of the articles in the options commentary stream that follows this article. We hope you find this format helpful. Performance is hypothetical and no trading is taking place.

Dear members:

Today, we're highlighting our third and fourth options ideas for the month of March 2022. In case you missed the first two option idea considerations this month, they can be found in the article that immediately follows this one.

The third idea is long call options on Apple Inc (AAPL) with a $185 strike price that expire September 16, 2022. Granted, Apple is not a hidden opportunity, but sometimes the best ideas can be right under our noses. The company's fundamentals remain rock-solid, and we think it will be a prime beneficiary of the rotation back into large cap growth and big cap tech names in the coming months and during the back half of this year.

We continue to be enormous fans of Apple given its fortress-like balance sheet, immense free cash flow generation, and bright earnings growth outlook. Shares of AAPL have shot higher during the past few weeks, and we see room for additional upside potential. Our fair value estimate for Apple sits at $170 per share, but we think the high end of our fair value estimate range north of $200 per share is within reach under the right market conditions. As of this writing, the company’s stock price is converging towards the upper end of that range.

We expect shares of Apple will continue shifting higher in the near term.

Apple announced the launch of a new edition of its iPhone SE, which is a budget version of its smartphone lineup, that is still 5G-capable and powered by its new A15 chip (designed by Apple) during a product event held this month. In the wake of inflationary pressures and concerns regarding purchasing power, Apple is making sure that its iPhone lineup is catering to consumers across the income spectrum.

Apple also announced new colors for its iPhone 13 and iPhone 13 Pro along with the news that it would air some MLB games, even for those without an Apple TV+ subscription, during the March 2022 product event. In January 2022, we covered our thoughts on Apple’s recent financial performance in an article that can be viewed here.

Our fourth options idea for the month of March 2022 is long call options on PayPal Holdings Inc (PYPL) with a $130 strike price that expire September 16, 2022. Shares of the fintech company have plummeted during the past six months, though in recent weeks its stock price has staged a recovery, and we see room for further capital appreciation upside potential in the near term.

The sell-off in shares of PYPL during the past few months is overdone, in our view. PayPal has a pristine balance sheet with a nice growth trajectory and substantial free cash flow generation. Our fair value estimate for PayPal sits at $152 per share and the top end of our fair value estimate range sits at $182 per share. We covered our thoughts on PayPal in a February 2022 article that can be viewed here, which we strongly encourage members to check out.

That's it for now. Please let us know if you have any questions.

Please always note the dates of the articles in the options commentary stream that follows this article.

Always our very best,


The Valuentum Team
www.valuentum.com

Please note that with options trading, investors can lose their entire premium. Don't ever trade with money that you can't afford to lose. Valuentum is an investment research publisher and accepts no liability for how readers may choose to utilize the content. By continuing with your additional options commentary membership, you accept our Terms and Conditions. If you do not agree with the Terms and Conditions, you must stop using this service and cancel your additional options commentary membership.
Image Shown: The surge in raw energy resources pricing seen of late has been a boon for Occidental Petroleum Corporation (orange line) but a major drag on the US Global Jets ETF (blue line).

March 25, 2022

Please always note the dates of the articles in the options commentary stream that follows this article. We hope you find this format helpful. Performance is hypothetical and no trading is taking place.

Dear members:

Our first options idea for the month of March 2022 is put options on the US Global Jets ETF (JETS) with a $20 strike price that expire June 17, 2022. The commercial passenger airliner business is not conducive to economic value creation through the course of the economic cycle, and only in a few rare instances since deregulation has the industry come close to capturing its cost of capital.

Airliners are troubled with hefty fixed costs from labor to expensive aircraft and are exposed to major inflationary headwinds. Recent increases in kerosene (jet fuel) prices as a result of surging crude oil prices combined with significant nominal labor/wage increases are aggressively eroding away the bottom line of the companies included in the JETS ETF. Additionally, many of these firms have bloated balance sheets and have limited financial flexibility to navigate these turbulent times.

Though the commercial passenger airliner industry is turning to pricing increases to offset the worst of ongoing inflationary pressures, in a highly commoditized space, it is difficult to push through large price increases without losing potential customers to other airliners that offer a similar service at a lower rate. The uplift from large parts of the world putting the worst of the coronavirus (‘COVID-19’) pandemic behind us was supposed to provide a major tailwind for the industry, though the Ukraine-Russia crisis may weigh quite negatively on international travel activity going forward, as will rising ticket prices.

In our view, the JETS ETF will face sizable selling pressures in the near term.

Our second idea for the month of March 2022 is call options on Occidental Petroleum Corporation (OXY) with a $60 strike price that expire June 17, 2022. Raw energy resources prices are surging, and Occidental Petroleum has no direct exposure to Russia. Occidental Petroleum operates a large exploration & production (‘E&P’) business alongside a moderate amount of energy infrastructure (midstream assets) and petrochemical plants. Its domestic E&P operations are focused on the Permian Basin, the DJ Basin, the Powder River Basin, and the Gulf of Mexico while its international E&P operations are focused on opportunities in Oman, Algeria, and Abu Dhabi in the UAE.

Currently, Occidental Petroleum is focused on paying down debt and returning cash to shareholders via share buybacks and dividend increases as its free cash flows should swell higher in the current environment. We see room for shares of OXY to run higher still, after rallying in recent weeks, as the top end of our fair value estimate range sits at $70 per share. Warren Buffett’s Berkshire Hathaway Inc (BRK.A) (BRK.B) has been steadily buying up Occidental Petroleum’s common stock in recent weeks. Berkshire also owns warrants and preferred equity in Occidental Petroleum.

In our view, Occidental Petroleum’s near term capital appreciation upside potential is significant.

Please let us know if you have any questions.

Please always note the dates of the articles in the options commentary stream that follows this article.

Always our very best,


The Valuentum Team
www.valuentum.com

Please note that with options trading, investors can lose their entire premium. Don't ever trade with money that you can't afford to lose. Valuentum is an investment research publisher and accepts no liability for how readers may choose to utilize the content. By continuing with your additional options commentary membership, you accept our Terms and Conditions. If you do not agree with the Terms and Conditions, you must stop using this service and cancel your additional options commentary membership.
Image Shown: Shares of the SPDR S&P Aerospace & Defense ETF (XAR) are breaking out of their downtrend on news of increased military spending across Europe. The uncertainty caused by Russia's invasion of Ukraine and the resulting economic sanctions by the West on Russia could result in increased defense budgets across continental Europe for years to come.

February 28, 2022

Please always note the dates of the articles in the options commentary stream that follows this article. We hope you find this format helpful. Performance is hypothetical and no trading is taking place.

Dear members:

With a conflict raging in Ukraine, we understand that it may be hard to focus on the stock market with so much suffering going on. In case you missed it, our latest work on the Ukraine/Russia crisis can be accessed here. We hope to see peace in Ukraine soon.

Today, we are highlighting the third and fourth options ideas for the month of February. As a response to Russia's invasion of Ukraine, we are witnessing a re-militarization of Europe. Just yesterday, for example, Germany announced that it would raise its defense budget to "100 billion euros" in 2022 -- more than double that of 2021. Other countries may follow with higher spending, too.

It is too early to say whether the world has entered into a new 21st century "Cold War," but it is clear that national defense has become a much more important priority around the world. Not only will militaries in Europe likely need to modernize much of their equipment, but spending to guard against cyber attacks will also become a necessity, especially in an age of military warfare that includes the cyberspace. It is with this view that we are highlighting the SPDR S&P Aerospace & Defense ETF (XAR) and the ETFMG Prime Cyber Security ETF (HACK) as our second set of options idea considerations for the month of February.

Increased spending in Europe and across the globe in the areas of national defense/security and to prevent cyber attacks will be the rising tide that lifts many boats in these ETFs, in our view. When it comes to defense, we generally prefer the XAR over other defense ETFs, including the iShares U.S. Aerospace & Defense ETF (ITA), because the XAR has strong exposure to the major defense contractors but a lower weighting in Boeing (BA), a stock we view as less attractive from a financial/fundamental basis than other pure-play defense contractors [for example, the BA weighting in XAR is ~4%, while the BA weighting in ITA is ~17%]. Boeing continues to struggle to right its own ship, and its financials aren't nearly as attractive as they once were prior to the 737 MAX debacle and COVID-19 outbreak.

Specifically, as it relates to the two new ideas, we are highlighting "in-the-money" long call options on the XAR with a $120 strike price that expire July 15, 2022. Though we like this ETF, please note that trading is thin across the XAR options chain, so keep bid/ask spreads in mind. We are also highlighting long call options on the HACK with a $60 strike price that expire June 17, 2022. Though the prices of these ETFs are bouncing today on expectations for increased defense/cyber spending around the world as a result of Russia's aggression, we think expectations have yet to be fully reset to higher levels.

With the rest of the world, we continue to monitor the events unfolding in Ukraine, and members should expect ongoing updates from us in the coming days and weeks. We're available for any questions, and may there be peace in Ukraine soon. Stay safe.

Always note the dates of the articles in the options commentary stream that follows this article.

Kind regards,

The Valuentum Team
www.valuentum.com

Please note that with options trading, investors can lose their entire premium. Don't ever trade with money that you can't afford to lose. Valuentum is an investment research publisher and accepts no liability for how readers may choose to utilize the content. By continuing with your additional options commentary membership, you accept our Terms and Conditions. If you do not agree with the Terms and Conditions, you must stop using this service and cancel your additional options commentary membership.
Image Shown: Shares of Meta Platforms Inc tanked after the owner of Facebook and Instagram posted its latest earnings report in early February 2022. More recently, shares of FB have started to firm up. After fine-tuning our valuation model in the wake of its latest earnings report, we continue to view Meta Platforms as one of the most undervalued companies out there. Bigger picture, large cap US growth equities remain the place to be, in our view.

February 11, 2022

Please always note the dates of the articles in the options commentary stream that follows this article. We hope you find this format helpful. Performance is hypothetical and no trading is taking place.

Dear members:

Today, we are highlighting the first and second options ideas for the month of February 2022, but before we do, we are "closing" a number of previously-highlighted ideas. They are as follows (data according to YahooFinance):

January 21 Idea: Long call options on the health insurance and health care provider giant UnitedHealth Group Inc (UNH) with a $490 strike price that expire June 17, 2022. Highlight bid/ask spread: $20.65/$22.00. "Close" bid/ask spread: $28.75/$30.10. Winner.

January 21 Idea: Long call options on one of our favorite industrial firms, Lockheed Martin Corp (LMT), with a strike price of $400 that expire June 17, 2022. Highlight bid/ask spread: $10.40/$11.00. "Close" bid/ask spread: $12.90/$13.60. Winner.

December 19 idea: Long call options on Vertex Pharmaceuticals Inc (VRTX) with a $250 strike price that expire April 14, 2022. Highlight bid/ask spread: $5.70/$9.50. "Close" bid/ask spread: $7.40/$9.90. Close.

December 15 idea: Long call options on Dick’s Sporting Goods Inc (DKS) with a $120 strike price that expire March 18, 2022. Highlight bid/ask spread: $5.00/$5.90. "Close" bid/ask spread: $5.00/$5.20. Close.

Our first idea for the month of February is long call options on Meta Platforms Inc (FB), formerly known as Facebook, with a $250 strike price that expire June 17, 2022. Shares of FB have faced an immense amount of selling pressure after it posted its fourth quarter earnings update on February 2.

We've fine-tuned our valuation model accordingly, factoring in the company's (self-imposed, discretionary) increased expense headwinds and making a variety of other tweaks (as Meta Platforms is investing heavily in data centers and its big “metaverse” strategy), and we believe our top-line growth forecasts remain conservative.

Over the past year, shares of Facebook are down about 15%-20%, while the ARKK has been halved, so even though we're disappointed by the sell-off in FB, we like the relative strength versus "junk" tech.

After fine-tuning our valuation model, we continue to believe Meta Platforms is one of the most undervalued companies out there. Our updated fair value estimate sits at $413 per share of FB. We published an article on V.com on February 4 (link here) covering our thoughts on Meta Platforms (lightly edited):

"For starters, we think the market is getting Meta wrong, as the company's cash-based sources of intrinsic value continue to be phenomenal. Let's put what we're saying into context. Meta's market capitalization now stands at [just over $600 billion]. Last fiscal year, it generated nearly $40 billion in free cash flow as it held about $50 billion in net cash on the balance sheet.

Hypothetically, for valuation context, assuming no growth, on average, in free cash flow the next three years, and that Meta allocates the sum of those next three year's future free cash flow generation plus its current net cash to share repurchases, Meta could buy back ~25% of itself (in 3 years!), if it does nothing operationally but hold the line, on average (while still spending vigorously on capex and buybacks).

We think Meta's stock sell off may have more to do with people disliking Facebook, the company, than the stock, itself. With what we believe to be a very, very conservative updated valuation, we still value FB shares north of $400 per share, and we reiterate that we're using very modest future expected revenue growth rates, hardly any operating leverage improvements, and incorporating massive capital spending for the investments in the metaverse, data centers, and the like."
 
As of this writing, Meta Platforms is trading near $225 per share.

Though its technicals have yet to form what could be considered a "bottom," we see ample room for shares of FB to rebound over the coming weeks and months as Meta Platforms’ equity is incredibly undervalued. To read more about our thoughts on Meta Platforms, please check out this article here, and to learn more about why we are still pounding the table for Meta Platforms, please check out our video here.
 
Pivoting to our second options idea for February 2022, we are highlighting long call options on the ProShares UltraPro QQQ ETF (TQQQ) with a $65 strike price that expire June 17, 2022. According to the ETF’s website, the TQQQ ETF “seeks daily investment results, before fees and expenses, that correspond to three times (3x) the daily performance of the Nasdaq-100 Index.”

As of this writing, ten-year US Treasuries are yielding just over 2.05% after moving higher in recent months. However, that is not a level that would single-handedly justify the recent selloff seen in the stock prices of large cap U.S. tech firms, a sell off in our view that is well overdone.
 
Large cap U.S. tech companies, collectively, are a rather defensive place to be, too, in our view, given their huge net cash positions and strong free cash flow profiles. The Federal Reserve is steadily winding down its monthly asset purchase program, dubbed Quantitative Easing (‘QE’), and numerous Fed officials have communicated that interest rate increases are likely in the near term to combat inflationary headwinds.

Rising interest rates may pressure the intrinsic value of equities, by themselves, especially companies with long growth tails (particularly some money-losing technology firms) -- but as the relative comparison between a company such as FB and those in the ARKK during the past 52 weeks has revealed, not all tech firms are created equally. Large cap growth tech, even when faced with difficulty as in the case of FB, for example, is much more defensive.
 
The largest companies included in the NASDAQ 100 index are stellar free cash flow generators with ample pricing power and promising growth outlooks that often have relatively strong balance sheets as well. We expect that the NASDAQ 100 index to perk up over the coming weeks and months and view long call options on the TQQQ ETF as a great way to play this potential rebound. Note that this idea may be the most speculative one we've ever highlighted.
 
Please let us know if you have any questions.

Always note the dates of the articles in the options commentary stream that follows this article.

Our very best,


The Valuentum Team
www.valuentum.com

Please note that with options trading, investors can lose their entire premium. Don't ever trade with money that you can't afford to lose. Valuentum is an investment research publisher and accepts no liability for how readers may choose to utilize the content. By continuing with your additional options commentary membership, you accept our Terms and Conditions. If you do not agree with the Terms and Conditions, you must stop using this service and cancel your additional options commentary membership.
Image Shown: Shares of Lockheed Martin Corporation (blue line) and UnitedHealth Group Inc (orange line) appear well-positioned to shift higher over the coming weeks and months, in our view, as the market grows more defensive in nature.
January 21, 2022

Please always note the dates of the articles in the options commentary stream that follows this article. We hope you find this format helpful. Performance is hypothetical and no trading is taking place.

Dear members:

With the markets selling off Friday, January 21, we think the time is ripe to highlight a few long call ideas.

First, however, we're closing the November options idea consideration, the long call options on the SPDR Gold Trust ETF (GLD) with a $170 strike price that expire today, January 21. Though the current residual options premium bid/ask spread in the GLD is below the highlight price premium's bid/ask spread, we think it makes sense to be prudent and "close" this one to preserve any residual value in this now in-the-money play.

We're also "closing" another November options idea consideration, the long put options idea on the SPDR Dow Jones Industrial Average ETF Trust (DIA) with a $340 strike price that expires today as well, January 21. Though the latest selling in the markets speaks to our being "correct" in looking for puts, the Dow Jones Industrial Average just didn't fall enough to make this a "winning" idea, so we'll be "closing" it to preserve any residual premium.

Without any delay, let's now cover our third and fourth options idea considerations for the month of January 2022. The third idea for the month of January is long call options on one of our favorite industrial firms, Lockheed Martin Corp (LMT), with a strike price of $400 that expire June 17, 2022. The defense contractor is scheduled to report its fourth-quarter 2021 earnings before the market open on January 25.

Lockheed Martin is getting closer to completing its all-cash acquisition of Aerojet Rocketdyne Holdings Inc (AJRD), which has a total transaction value of ~$4.4 billion when including the assumption of net cash. The deal will add Aerojet Rocketdyne's propulsion systems to Lockheed Martin’s portfolio and is expected to strengthen its ‘Aeronautics,’ ‘Missiles and Fire Control,’ and ‘Space’ business segments.

Lockheed Martin has included Aerojet Rocketdyne as part of its supply chain for some time. Reportedly, the US Federal Trade Commission (‘FTC’) should soon vote on whether to approve the deal, which was first announced back in December 2020.

We view Lockheed Martin’s capital appreciation upside quite favorably as shares of LMT have steadily moved higher of late. The top end of our fair value estimate range stands at ~$450 per share of Lockheed Martin.

Readers interested in learning more about Lockheed Martin are encouraged to check out our September 2021 article covering its extensive growth runway in the realm of commercial, government, and military space activities (link here). We also encourage readers to pay attention to news regarding the risks to its future free cash flow trajectory, as outlined in this note here.

Our fourth options idea for the month of January is long call options on the health insurance and health care provider giant UnitedHealth Group Inc (UNH) with a $490 strike price that expire June 17, 2022. The company recently reported a solid fourth-quarter 2021 earnings update, which we covered in this article here. Shares of UNH moved higher after its latest earnings report, and the company reaffirmed its promising 2022 guidance in conjunction with the report.

Here is what we had to say in our article covering the event:

"Looking ahead, UnitedHealth forecasts that it will generate $317-$320 billion in revenue this year, which represents 11% annual growth at the midpoint. Additionally, UnitedHealth expects to generate $21.10-$21.60 in non-GAAP adjusted EPS (up 12% year-over-year at the midpoint) and $23.0-$24.0 billion in operating cash flow (up 5% year-over-year at the midpoint) this year. UnitedHealth’s growth trajectory is expected to continue in earnest in 2022, which we appreciate."

The top end of our fair value estimate range sits at ~$510 per share of UnitedHealth, and we view its near-term capital appreciation upside potential quite favorably. We strongly encourage readers to check out our earnings note covering UnitedHealth. Here is where you can find UNH's stock page >>

We're available for any questions.

Please always note the dates of the articles in the options commentary stream that follows this article.

Always our very best,


The Valuentum Team
www.valuentum.com

Please note that with options trading, investors can lose their entire premium. Don't ever trade with money that you can't afford to lose. Valuentum is an investment research publisher and accepts no liability for how readers may choose to utilize the content. By continuing with your additional options commentary membership, you accept our Terms and Conditions. If you do not agree with the Terms and Conditions, you must stop using this service and cancel your additional options commentary membership.
Image Shown: Shares of Callon Petroleum Company (blue line) and Laredo Petroleum Inc (orange line) have surged higher over the past year, with room for additional upside potential going forward as raw energy resources pricing has been marching higher of late.

January 19, 2022

Please always note the dates of the articles in the options commentary stream that follows this article. We hope you find this format helpful. Performance is hypothetical and no trading is taking place.

Dear members:

Today, we're highlighting the first two options idea considerations for the month of January 2022, specifically long call option ideas on some high-quality exploration and production (‘E&P’) companies focused on oil-rich “fracking” opportunities in the U.S.

Fracking opportunities are short-cycle endeavors that can churn out cash flows relatively quickly (within months instead of years for other oil & gas projects), making it easier for these firms to capitalize on favorable movements in raw energy resources pricing. Crude oil prices have been shifting higher of late as the Omicron variant of the coronavirus (‘COVID-19’) pandemic is proving to be more manageable than first feared while the OPEC+ oil cartel is staying the course as it concerns slowly unwinding their supply curtailment agreement.

Our first idea is long call options on Callon Petroleum Company (CPE) with a $65 strike price that expire April 14, 2022. Callon Petroleum primarily focuses on upstream opportunities in the Permian Basin in West Texas and to a lesser extent, the Eagle Ford play in South Texas. In October 2021, Callon Petroleum completed its acquisition of Primexx Energy Partners through a ~$0.8 billion cash-and-stock deal that significantly grew its presence in the Permian Basin. Callon Petroleum also recently announced the sale of non-core assets in the Eagle Ford as part of its portfolio optimization process.

We like Callon Petroleum as greater scale in the Permian Basin should provide the firm with ample oil-rich development opportunities to capitalize on. The company generated ~$0.2 billion in free cash flow during the first nine months of 2021 as it benefited immensely from the ongoing recovery in the global energy complex. Callon Petroleum does not pay out a common dividend at this time and did not repurchase a significant amount, or any, of its common stock during this period as the firm instead repaired its balance sheet.

Going forward, Callon Petroleum is focused on deleveraging efforts and integrating its acquisition of Primexx Energy Partners. Callon Petroleum’s net debt load (inclusive of short-term debt, though it had none on the books at the end of both periods) fell by over $0.5 billion from the end of the second quarter of 2020 to the end of the third quarter of 2021. By the end of fiscal 2022, Callon Petroleum aims to bring its net debt to adjusted EBITDA ratio down below 2.0x, versus 4.2x at the end of fiscal 2020. We expect Callon Petroleum’s newfound fiscal discipline will continue to win over investors and view the company’s capital appreciation upside quite favorably.

Our second idea is long call options on Laredo Petroleum Inc (LPI) with an $85 strike price that expire April 14, 2022. Laredo Petroleum primarily focuses on developing upstream opportunities in the Permian Basin play. Just like Callon Petroleum, Laredo Petroleum is focused on improving its free cash flow generating abilities and paying down debt after making some big changes to its asset base.

In May 2021, Laredo Petroleum announced a ~$0.7 billion cash-and-stock deal to acquire the assets of Sabalo Energy and a non-operating partner, bolstering its position in the Permian Basin (particularly in regions of the Permian Basin where Laredo Petroleum is actively pursuing growth opportunities). Additionally, Laredo Petroleum also announced it was divesting a sizable stake in some of its operated legacy assets in the Permian Basin for ~$0.4 billion to raise cash for the acquisition. These deals closed in July 2021. In September 2021, Laredo Petroleum announced it was acquiring leaseholds from Pioneer Natural Resources Company (PXD) in the Permian Basin through a bolt-on acquisition for ~$0.2 billion, and that deal closed in October 2021.

During the first nine months of 2021, Laredo Petroleum generated a modest amount of positive free cash flows, which was an improvement from the negative free cash flows the firm generated in the same period the prior year. As it works towards integrating its recently acquired assets, Laredo Petroleum should be able to improve its free cash flow performance. Rising raw energy resources pricing will help out on this front.

Laredo Petroleum aims to reduce its leverage ratio (net debt to adjusted EBITDA) down to 1.5x by the end of fiscal 2022, and possibly even lower by fiscal 2023 according to recent management commentary. The company does not have any major tranches of its debt coming due until 2025 at the earliest, providing it with ample time to complete its asset integration work while improving its free cash flow generating performance.

We see room for ample capital appreciation upside potential in the near term at both Callon Petroleum and Laredo Petroleum as the outlook for the global energy complex continues to improve. The increase in crude oil prices seen of late will go a long way in enabling both companies to repair their balance sheets, which took a beating from the coronavirus (‘COVID-19’) pandemic. In our view, investors will appreciate the pivot towards fiscal discipline at both oil-focused E&P firms.

We're available for any questions.

Please always note the dates of the articles in the options commentary stream that follows this article.

Always our very best,


The Valuentum Team
www.valuentum.com

Please note that with options trading, investors can lose their entire premium. Don't ever trade with money that you can't afford to lose. Valuentum is an investment research publisher and accepts no liability for how readers may choose to utilize the content. By continuing with your additional options commentary membership, you accept our Terms and Conditions. If you do not agree with the Terms and Conditions, you must stop using this service and cancel your additional options commentary membership.
Image Shown: Shares of Qualcomm Inc (depicted by the blue line in the above graph) and Vertex Pharmaceuticals Inc (depicted by the orange line) have surged higher during the past three months into late December 2021. We see ample room for shares of QCOM and VRTX to continue climbing higher going forward as we get ready for 2022.

December 29, 2021

Please always note the dates of the articles in the options commentary stream that follows this article. We hope you find this format helpful. Performance is hypothetical and no trading is taking place.

Dear members:

We hope you had a wonderful time with family, friends, and loved ones during this past Christmas weekend. Today, we're highlighting the third and fourth options ideas for the month of December 2021. Our third idea is long call options on Qualcomm Inc (QCOM) with a $190 strike price that expire April 14, 2022.

In November 2021, Qualcomm forecasted that its addressable market opportunity will grow by ~$100 billion over the next decade to reach ~$700 billion by 2030 during its 2021 Investor Day event. Shares of QCOM have surged higher since then as investors are becoming increasingly bullish on the semiconductor company’s longer term growth trajectory.

The high end of our fair value estimate sits at $206 per share of Qualcomm, indicating there is ample room for shares of QCOM to run even higher (shares are trading at ~$186 each at the time of this writing). We covered why we are big fans of Qualcomm in this article here that we strongly encourage our members to check out.

Our fourth options idea for the month of December 2021 is long call options on Vertex Pharmaceuticals Inc (VRTX) with a $250 strike price that expire April 14, 2022. Please note that with this idea there are liquidity concerns (i.e. a wide bid/ask spread) as this options tranche is thinly traded.

Vertex Pharma is one of our favorite biotech plays out there. The company has a history of meaningful guidance increases and recently published favorable clinical trial data on one of its leading drug candidates, topics that we covered in this article here that we strongly encourage our members to check out.

Vertex Pharma is a net cash-rich, free cash flow generating company in an industry where many companies generally are burning through vast amounts of cash. It is also actively buying back its stock, helping to provide equity-price support, and has upside potential with respect to CRISPR technology via partnerships.

Our fair value estimate sits at $250 per share of VRTX, and the high end of our fair value estimate range sits at $350 per share (shares are trading at ~$223 each at the time of this writing). We see ample room for Vertex Pharma’s stock price to continue surging higher in the coming months. Shares of VRTX have exhibited strong technical performance of late, too.

Please let us know if you have any questions, and have a Happy New Year!

Please always note the dates of the articles in the options commentary stream that follows this article.

Always our very best,


The Valuentum Team
www.valuentum.com

Please note that with options trading, investors can lose their entire premium. Don't ever trade with money that you can't afford to lose. Valuentum is an investment research publisher and accepts no liability for how readers may choose to utilize the content. By continuing with your additional options commentary membership, you accept our Terms and Conditions. If you do not agree with the Terms and Conditions, you must stop using this service and cancel your additional options commentary membership.
Image Shown: Shares of Republic Services Inc have been on an upward tear year-to-date as of this writing, and we see room for additional upside potential. A meaningful portion of the garbage hauler's contractual agreements are CPI-based, meaning that it has the capacity to generate additional service pricing gains as traditional measures of inflation remain elevated.
December 15, 2021

Please always note the dates of the articles in the options commentary stream that follows this article. We hope you find this format helpful. Performance is hypothetical and no trading is taking place.

Dear members:

Today, we're highlighting the first and second options ideas for the month of December 2021. Our first idea is long call options on Dick’s Sporting Goods Inc (DKS) with a $120 strike price that expire March 18, 2022. Our fair value estimate for the sporting goods retailer sits at $148 per share (shares are trading at ~$105 at the time of this writing). Dick's Sporting Goods' stock page >>

When the sporting goods retailer reported third quarter earnings for fiscal 2021 (period ended October 31, 2021) on November 23, the company beat both consensus top- and bottom-line estimates. Additionally, Dick's Sporting Goods once again raised its full-year guidance for fiscal 2021 in conjunction with its latest earnings update (we covered the firm’s latest earnings and outlook in this article here).

The company’s Executive Chairman and former CEO, Stack Edward, recently purchased some shares of DKS (link to the relevant Form 4 SEC filing), and we see this as a good sign. We view Dick’s Sporting Goods’ capital appreciation upside potential quite favorably and appreciate management’s growing confidence in the company’s outlook, a confidence we share.

We believe the holiday selling season will be a good one, too, despite some supply chain hiccups across various verticals, and Dick's Sporting Goods' omni-channel strategy continues to resonate with athletes, coaches and beyond. The sporting goods retailer has some of the best brands for the serious athlete, and we're expecting a big calendar fourth quarter as consumers think "healthy" with respect to holiday gift giving -- especially as sports at all levels get back to "normal" following the shutdowns and safety precautions to limit the spread of COVID-19.

Shares have also seemed to be hitting technical support in the $100-$105 per-share price range after closing the gap up in August. We think shares of Dick's Sporting Goods are setting up nicely.

The second options idea for December 2021 is long call options on Republic Services Inc (RSG) with a $140 strike price that expire April 14, 2022. We caution that these options have seen only modest levels of daily trading activity of late, meaning there are liquidity concerns to be aware of here, namely a rather wide bid/ask spread.

This idea is not one that we expect to generate the type of huge hypothetical "gains" as some of our more recent ideas, but we like the "positioning" heading into a more volatile end-of-year period.

On a fundamental basis, Republic Services posted a stellar third quarter 2021 earnings update on October 28, which saw the firm beat both consensus top- and bottom-line estimates. The waste management company also (once again) raised its full-year guidance in conjunction with its latest earnings report (we covered its previous guidance boosts in this article here).

We see ample room for capital appreciation upside potential going forward at Republic Services, as many larger investors seek to do some de-risking as a result of the fallout of more speculative ARK Innovation-type stocks. This could result in a bump in the value ascribed to this options idea consideration, as markets remain choppy (volatile) and therefore attract incremental money flow to more conservative ideas.

Republic Services also has exposure to CPI-linked contractual pricing arrangements, and with inflation coming in hotter than expectations, some may start to view Republic as a unique inflation hedge. This could attract even more capital to the position. Republic Services' stock page >>

We look forward to releasing the second two options ideas for the month of December in the coming weeks. Let us know if you have any questions, and we hope you are enjoying this wonderful holiday season!

Please always note the dates of the articles in the options commentary stream that follows this article.

Always our very best,


The Valuentum Team
www.valuentum.com

Please note that with options trading, investors can lose their entire premium. Don't ever trade with money that you can't afford to lose. Valuentum is an investment research publisher and accepts no liability for how readers may choose to utilize the content. By continuing with your additional options commentary membership, you accept our Terms and Conditions. If you do not agree with the Terms and Conditions, you must stop using this service and cancel your additional options commentary membership.
Image Shown: Though we remain very bullish on the stocks that make up the category of large cap growth (see here), some downside protection may be warranted, in our view, due to recent reports coming out of South Africa concerning a new highly transmissible and complex variant of COVID-19, referred to as the Omicron variant. Equity markets in the US are currently trading just below their all-time highs, with the SPDR Dow Jones Industrial Average ETF Trust shown in the chart up above. We are monitoring the situation closely as markets appear spooked by the news as the chance of another round of lockdowns, particularly in Europe, continues to grow. Investors shouldn't panic by any stretch, however, and we remain very bullish on stocks for the long haul.

November 30, 2021

Please always note the dates of the articles in the options commentary stream that follows this article. We hope you find this format helpful. Performance is hypothetical and no trading is taking place.

Dear members:

Today, we are highlighting the third and fourth options ideas for the month of November 2021. But before we do, we think it makes sense to reiterate our bullish take on the equity markets and point to the area of large cap growth as one of our favorites (see here).

For the past many years, we've been pounding the table on companies that comprise large cap growth, including Facebook (FB), Alphabet (GOOG), Microsoft (MSFT), Apple (AAPL) and beyond, and we've shunned overleveraged entities that have trouble paying their dividends with free cash flow.

Probably to no member's surprise, the area of large cap growth has been one of the best performers in the past five years, while MLPs, which are overleveraged and have trouble meeting their dividend obligations, have been one of the worst. It's always nice to see things line up the past 5 years largely how we predicted (see here).

With that said, let's dig into the new ideas. Our third idea for the month of November is long put options on the SPDR Dow Jones Industrial Average ETF Trust (DIA) with a $340 strike price that expire on January 21, 2022, and our fourth idea is long call options on the SPDR Gold Trust ETF (GLD) with a $170 strike price that expire on January 21, 2022.

As you're probably aware, there have been recent reports coming out of South Africa that a complex and highly transmissible strain of the coronavirus (‘COVID-19’) has begun to spread, known as the Omicron variant, which is spooking markets. Reportedly, mutations in the spike protein of the B.1.1.529 (the Omicron) variant are of particular concern. Confirmed cases of the Omicron variant have been identified in South Africa, various countries in Europe (including the UK, Germany, and Italy), along with other countries including Israel and Hong Kong.

Questions regarding the effectiveness of existing COVID-19 vaccines and treatments represent one of the key issues public health officials and investors are now contemplating, as is the chance for renewed lockdowns in parts of the world. Economies in Austria and the Netherlands were already implementing lockdowns (in various forms) and other measures in response to waves of COVID-19 infections before this news broke. Concerns over additional quarantine measures being enacted elsewhere are now growing.

Though we're not panicking by any stretch, some downside protection may be warranted for more risk-averse investors, in our view. Various nations have already reacted to this news by limiting travel between their countries and various countries in southern Africa (namely South Africa and its neighbors where the Omicron variant was first detected). The World Health Organization (‘WHO’) recently held a special meeting regarding this new variant of COVID-19, and we are monitoring the situation closely.

Importantly and for context, the new Omicron variant is but one in a long string of variants that the world has been grappling with since COVID-19 surfaced, and we believe that global health officials will be able to handle this one as successfully as it has other variants -- so there is no change to our long-term views. The long put option idea on the DIA seeks to capture more the increased volatility that may be priced into the options in the coming weeks rather than any abrupt decline in capital markets driven by ongoing Omicron news.

Please let us know if you have any questions, and hope you had a wonderful holiday weekend!

Always note the dates of the articles in the options commentary stream that follows this article.

Our very best,


The Valuentum Team
www.valuentum.com

Please note that with options trading, investors can lose their entire premium. Don't ever trade with money that you can't afford to lose. Valuentum is an investment research publisher and accepts no liability for how readers may choose to utilize the content. By continuing with your additional options commentary membership, you accept our Terms and Conditions. If you do not agree with the Terms and Conditions, you must stop using this service and cancel your additional options commentary membership.
November 10, 2021

Dear members:

Today, we're highlighting the first two options ideas for the month of November and making a few moves, involving four of our prior options idea considerations.

First, we're locking in two previously-released options ideas as "winners," 1) long call options on SPDR S&P Regional Banking ETF (KRE) with a $72 strike price that expire December 17, 2021 and 2) long call options on Taiwan Semiconductor Manufacturing Company Limited (TSM) with a $120 strike price that expire November 19, 2021.

The option idea regarding the KRE was highlighted with bid/ask spread of $2.06/$2.10, and the same contracts are now trading at $3.90/$4.10, according to YahooFinance, good for roughly a "double." The option idea regarding the TSM was highlighted with a bid/ask spread of $1.53/$1.58, and the same contracts are now trading at $2.10/$2.20, according to YahooFinance, good for another very nice hypothetical "gain."

Another two of our prior options ideas are coming up for expiration on November 19, and while they are not "winners," we think closing these two prior ideas may make sense to preserve the contract value for another day. Specifically, we're "closing" the prior options ideas highlighted in September related to ASML and AAPL, as shown in the table immediately following this write-up.

Importantly, we have high hopes for the second set of options ideas for the month of October, released October 26, which remain open: 1) long call options on Chevron Corporation (CVX) with a $120 strike price that expire December 17, 2021 and 2) long call options on ExxonMobil Corporation (XOM) with a $67.50 strike price that expire December 17, 2021. Inflation is picking up, and CVX and XOM may be prime beneficiaries of such a trend.

Today, with our first two options ideas for the month of November, we're sticking with what works. We have highlighted many an idea in the past tied to the general trend of moaty, net-cash-rich, free-cash-flow generating, secular growth powerhouses, and the two new options ideas for the month of November fit this bill perfectly. In fact, one of them is a top-weighted idea in the Best Ideas Newsletter portfolio.

You may have guessed! The first options idea for the month of November is long call options on Alphabet (GOOG) with a $3,500 strike price and February 18, 2022, expiration date. We expect the stylistic area of large cap growth to "continue to run," and Alphabet remains extremely attractive from a valuation standpoint, with our fair value estimate matching the idea's strike price. Its recent quarterly results were also phenomenal: "Alphabet Launches Higher."

Our second options idea for the month of November is long call options on Microsoft (MSFT) with a $360 strike price and a February 18, 2022, expiration date. Though shares are a bit extended technically, the high end of our fair value estimate range of $360 per share means they could still run higher, in our view, before they start to get a bit pricey based on our future forecasts. Microsoft, too, is net cash rich, free cash flow generating powerhouse, but it has solid dividend growth prospects to boot, as we outline here.

Let the good times roll, and please let us know if you have any questions.

Always note the dates of the articles in the options commentary stream that follows this article. We hope you find this format helpful. Performance is hypothetical and no trading is taking place.

Thank you,


The Valuentum Team
www.valuentum.com

Please note that with options trading, investors can lose their entire premium. Don't ever trade with money that you can't afford to lose. Valuentum is an investment research publisher and accepts no liability for how readers may choose to utilize the content. By continuing with your additional options commentary membership, you accept our Terms and Conditions. If you do not agree with the Terms and Conditions, you must stop using this service and cancel your additional options commentary membership.
Win = The options contract was closed as a win. Closed = the options contract was closed at a loss. Expired = The options contract expired worthless. Pie chart above does not consider ideas still open.

Results are hypothetical. No trading is taking place. Past performance is not indicative of future performance.
October 26, 2021
Image Shown: Shares of both Chevron Corporation, shown by the green/red bars in the above graphic, and ExxonMobil Corporation, shown by the blue/purple bars in the above graphic, have been on a nice upward climb since mid-September 2021. As the global energy complex continues to recover from the worst of the COVID-19 pandemic, reflected in part through the sizable increase in raw energy resources pricing (such as crude oil and natural gas) in recent months, we see ample room for further capital appreciation upside at both companies going forward. The ongoing recovery in global refined petroleum product demand should also go a long way in bolstering the future financial performance at both Chevron and ExxonMobil.

Please always note the dates of the articles in the options commentary stream that follows this article. We hope you find this format helpful. Performance is hypothetical and no trading is taking place.

Dear members:

Today, we are highlighting our third and fourth options ideas for the month of October 2021. Our third idea is [long] call options on Chevron Corporation (CVX) with a $120 strike price that expire December 17, 2021 and the fourth is [long] call options on ExxonMobil Corporation (XOM) with a $67.50 strike price that expire December 17, 2021. Please note that the thesis behind both of these ideas is roughly the same.

Surging crude oil prices and the recovery in refined petroleum product demand from the worst of the coronavirus (‘COVID-19’) pandemic should go a long way in bolstering the cash flows of both Chevron and ExxonMobil over the coming quarters, aided by cost cutting measures enacted in previous years (I, II). Gasoline and diesel demand is steadily recovering as lockdown measures have been eased around the world, and the air travel market is staging a modest recovery as well (particularly as it concerns the domestic air travel market in China and the US). Elevated natural gas prices seen in recent months further enhances the near term outlook for both Chevron and ExxonMobil, and we covered that upside in this article here.

When Chevron and ExxonMobil report their third quarter earnings reports, which are due out soon, we expect both firms will have plenty of positive things to say about the state of the recovering global energy complex. Our fair value estimate for Chevron sits at $115 per share with room for upside as the top end of our fair value estimate range sits at $144 per share. Pivoting to ExxonMobil, our fair value estimate sits at $83 per share with room for upside as the top end of our fair value estimate range sits at $110 per share. Shares of both CVX and XOM have been on a nice upward climb since mid-September 2021, and we see ample room for further capital appreciation upside over the coming weeks and months.

Please let us know if you have any questions.

Please always note the dates of the articles in the options commentary stream that follows this article.

Always our very best,


The Valuentum Team
www.valuentum.com

Please note that with options trading, investors can lose their entire premium. Don't ever trade with money that you can't afford to lose. Valuentum is an investment research publisher and accepts no liability for how readers may choose to utilize the content. By continuing with your additional options commentary membership, you accept our Terms and Conditions. If you do not agree with the Terms and Conditions, you must stop using this service and cancel your additional options commentary membership.
Image Shown: Shares of SPDR S&P Regional Banking ETF (KRE) have been on an upward climb of late as the outlook for net interest margins (‘NIMs’) continues to improve on the back of the recovering US economy.

October 14, 2021

Please always note the dates of the articles in the options commentary stream that follows this article. We hope you find this format helpful. Performance is hypothetical and no trading is taking place.

Dear members:

Today, we are highlighting the first and second options ideas for the month of October 2021. The first is long call options on SPDR S&P Regional Banking ETF (KRE) with a $72 strike price that expire December 17, 2021. The US banking industry continues to recover from the worst of the coronavirus (‘COVID-19’) pandemic. Please note that while near term headwinds are building, the outlook for regional banks remains strong as the Federal Reserve is getting ready to taper its quantitative easing (‘QE’) program (monthly purchases of US Treasuries and mortgage-back securities), which will set the stage for potential interest rate increases come 2022 or 2023.

Regional US banks are geared more towards traditional banking activities than large US banking entities with sizable wealth management and capital markets operations. The outlook for net interest margins (‘NIMs’) is improving at a time when net credit write-offs were not anywhere near as bad as what many expected when the pandemic first reared its ugly head. As the domestic economy recovers, there should be greater demand for loans (and related services), which can be met via strong deposit performance seen across the industry, aided by relatively high US personal savings rates (according to data provided by the Federal Reserve Bank of St. Louis) and the hoarding of cash by US companies.

The holdings within the KRE ETF, seen in the upcoming graphic down below, are well-positioned to meet that demand.
Image Shown: The top ten holdings the KRE ETF as of June 30, 2021. Image Source: KRE ETF Website – Fact Sheet

Our second options idea is long put options on SPDR S&P 500 ETF Trust (SPY) with a $430 strike price that expire December 31, 2021. While we are still incredibly optimistic on the ongoing recovery in the US economy, in the near term, inflationary headwinds, labor shortages, and logistical constraints may create ample volatility in US equity markets and the trajectory of the domestic economy.

Having some “downside protection” is warranted, in our view, and the aforementioned SPY ETF put options are highly liquid. Here, we will stress that this idea is not reflective of our long term view on US equities, as we remain incredibly bullish in the long run, but is a recognition that bull markets tend to see corrections when hurdles arise. Put options on the SPY ETF provides some downside protection as we head into the winter of 2021/2022.

Please let us know if you have any questions.

Please always note the dates of the articles in the options commentary stream that follows this article.

Always our very best,

The Valuentum Team
www.valuentum.com

Please note that with options trading, investors can lose their entire premium. Don't ever trade with money that you can't afford to lose. Valuentum is an investment research publisher and accepts no liability for how readers may choose to utilize the content. By continuing with your additional options commentary membership, you accept our Terms and Conditions. If you do not agree with the Terms and Conditions, you must stop using this service and cancel your additional options commentary membership.

September 29, 2021
Image Shown: Shares of ASML Holdings NV have surged higher over the past several months, and we see room for additional upside as the global demand for semiconductors continues to grow at a brisk pace, which in turn supports the demand outlook for its photolithography systems that are an essential part of the “chip” manufacturing process.

Please always note the dates of the articles in the options commentary stream that follows this article. We hope you find this format helpful. Performance is hypothetical and no trading is taking place.

Dear members:

Today, we are highlighting our third and fourth options ideas for the month of September 2021. But before we do, we're closing a couple previous ideas, namely 1) the long put options on KraneShares CSI China Internet ETF (KWEB) with a $46 strike price that expire November 19, 2021, and 2) long put options on ARK Innovation ETF (ARKK) with a $110 strike price that expire December 17, 2021.

The KWEB offered a modest hypothetical gain from the highlight price, while the ARKK contracts are trading about in-line with their highlight price, according to data from YahooFinance. We were able to position ahead of the ongoing sell-off (and increased volatility) in the equity markets, but these options ideas didn't quite pan out as we liked when it came to magnitude though they did offer a nice hedge. In any case, we're looking forward to the second set of new ideas this month.

Our third options idea for the month of September 2021 are long call options on ASML Holdings NV (ASML) with a strike price of $900 that expire November 19, 2021. Based in the Netherlands, ASML Holdings sells the photolithography equipment necessary to produce high-end semiconductors along with other types of “chips” and effectively has a monopoly in this arena, giving the firm tremendous pricing power.

We covered the company’s business model and rock-solid financials in two previous articles (I, II). At the end of ASML Holdings’ second quarter of fiscal 2021 (period ended July 4, 2021), the company had a nice net cash position (when looking at just its long-term debt load as its ‘current liabilities’ line-item is not broken down to include its potential short-term debt position).
During the first half of fiscal 2021, ASML Holdings generated $2.2 billion in free cash flow. Its GAAP revenues were up 45% year-over-year and its GAAP operating income more than doubled year-over-year during the first half of fiscal 2021 as demand for semiconductors continues to boom, which in turn is driving up demand for ASML Holdings’ offerings. Shares of ASML are looking as though they are bouncing off support of their technical uptrend at the moment, and we see room for additional upside.

Our fourth idea for the month of September 2021 is long call options on Taiwan Semiconductor Manufacturing Company Limited (TSM) with a $120 strike price that expire November 19, 2021. The company is the largest semiconductor foundry in the world (note that it does not design its own semiconductors but produces chips that its customer base designs). Taiwan Semiconductor Manufacturing is aggressively ramping up its investments in its business to keep up with robust demand of late and expectations of strong future demand growth over the coming years and decades.

The company exited June 2021 with a net cash position, and during the first half of 2021, its revenues and operating income continued to grow at a nice clip year-over-year. In order to manage surging demand for its offerings while also offsetting headwinds arising from inflationary and supply chain hurdles, Taiwan Semiconductor Manufacturing decided to push through sizable pricing increases recently. We are big fans of the company’s pristine balance sheet, growth outlook, and ample pricing power, and view its capital appreciation upside going forward quite favorably.

We're available for any questions, and we hope you continue to enjoy your membership to our additional options commentary.

Please always note the dates of the articles in the options commentary stream that follows this article.

Always our very best,

The Valuentum Team
www.valuentum.com

Please note that with options trading, investors can lose their entire premium. Don't ever trade with money that you can't afford to lose. Valuentum is an investment research publisher and accepts no liability for how readers may choose to utilize the content. By continuing with your additional options commentary membership, you accept our Terms and Conditions. If you do not agree with the Terms and Conditions, you must stop using this service and cancel your additional options commentary membership.
Image Shown: Shares of Apple Inc (blue line) and PayPal Holdings Inc (orange line) are on a nice upward trend over the past month with room for further capital appreciation upside in the near term.

September 13, 2021

Please always note the dates of the articles in the options commentary stream that follows this article. We hope you find this format helpful. Performance is hypothetical and no trading is taking place.

Dear members:

Today, we’re highlighting our first and second options ideas for the month of September 2021. The first idea is long call options on Apple Inc (AAPL) with a $160 strike price that expire November 19, 2021. Apple is one of our favorite enterprises given its fortress-like balance sheet (~$71.9 billion net cash position as of June 26, 2021, when including short-term debt and long-term marketable securities on hand), stellar free cash flow generating abilities, and the promising growth outlook for its high-margin digital services business. In our view, Apple’s digital services business will one day be a larger source of its profits than its iPhone, which for now remains its bread-and-butter.

Apple is getting ready to host a major event tomorrow (September 14) which is rumored (I, II) to include the launch of the iPhone 13, among other items. Shares of Apple are trading right near their all-high times as of this writing and are supported by their powerful technical performance of late. The top end of our fair value estimate range for Apple sits at $180 per share, and we expect shares of AAPL will continue marching higher going forward.

Our second idea for September 2021 is long call options on PayPal Holdings Inc (PYPL) with a $300 strike price that expire November 19, 2021. As with Apple, PayPal has stellar free cash flow generating abilities, a pristine balance sheet (PayPal had a nice net cash position at the end of June 2021), and a promising growth outlook supported by secular tailwinds. Shares of PayPal are on a nice upward trend of late with room to run much higher as our fair value estimate for PYPL sits at $304 per share while the top end of our fair value estimate range sits at $365 per share of PayPal.

As we covered in a recent note (link here), PayPal is capitalizing on the growing popularity of ‘buy now, pay later’ (‘BNPL’) installment payment plans across the world while expanding its crypto offerings to the UK. Reportedly, PayPal is also considering launching its own brokerage in the US as we covered in that article, which we strongly encourage readers to check out. We view PayPal’s capital appreciation potential quite favorably and expect shares of PYPL will continue marching higher going forward.

We're available for any questions.

Please always note the dates of the articles in the options commentary stream that follows this article.

Always our very best,

The Valuentum Team
www.valuentum.com

Please note that with options trading, investors can lose their entire premium. Don't ever trade with money that you can't afford to lose. Valuentum is an investment research publisher and accepts no liability for how readers may choose to utilize the content. By continuing with your additional options commentary membership, you accept our Terms and Conditions. If you do not agree with the Terms and Conditions, you must stop using this service and cancel your additional options commentary membership.
August 30, 2021

Please always note the dates of the articles in the options commentary stream that follows this article. We hope you find this format helpful. Performance is hypothetical and no trading is taking place.

Dear members:

Today, we're closing three more winning ideas!

First, we're closing long call options on Facebook Inc (FB) with a $375 strike price that expire November 19, 2021. At the time of highlight, contracts were trading at $15.80/$16.10, according to data from YahooFinance. Today, they are trading at $21.65/$21.85 -- good for a solid hypothetical "gain!"

Second, we're closing the long call options on Alphabet Inc (GOOG) (GOOGL), specifically its Class C shares (ticker: GOOG) with a $2,850 strike price that expire November 19, 2021. At the time of highlight, contracts were trading at $86.90/$90.90, according to data from YahooFinance. Today, they are trading at $162.90/$165.20 -- good for a huge "win!"

Third, we're closing the long call options on Microsoft Corporation (MSFT) with a $300 strike price that expire December 17, 2021. At the time of highlight, contracts were trading at $11.10/$11.20, according to data from YahooFinance. Today, they are trading at $15.65/$15.80 -- good for a very strong hypothetical "gain!"

What a nice trio of wins! Now, on to the new ideas!

Today, we’re highlighting the third and fourth options ideas for the month of August 2021. Our third idea is long in-the-money call options on iShares Cybersecurity and Tech ETF (IHAK) with a $46 strike price that expire September 17, 2021. In the wake of several high profile hacks on US entities, including the breach of the enterprise software firm SolarWinds Corp (SWI) and the attacks on critical infrastructure such as meat packaging plants and the Colonial Pipeline, companies and government entities in the US and elsewhere continue to step up their cybersecurity investments in a big way.

At a recent White House meeting, Microsoft Corporation (MSFT) announced it would spend $20 billion towards cybersecurity over the next five years after previously investing around $1 billion per year towards the space according to CNBC. Microsoft intends to allocate $0.15 billion towards helping government entities upgrade their own cybersecurity operations as part of this commitment.

Alphabet Inc (GOOG) (GOOGL) announced it would spend over $10 billion over the next five years bulking up its cybersecurity capabilities, while Apple Inc (AAPL) and IBM (IBM) also pledged to invest heavily towards the space. IBM intends to train 150,000 people on cybersecurity skills over the next three years as part of its efforts.

The holdings within the IHAK ETF include dozens of emerging and established cybersecurity firms with significant exposure to the US (more on that here). Considering the significant amount of attention the cybersecurity space has been getting of late, we think long call options on the IHAK ETF is one way to gain exposure to this potential upside. We've opted for a shorter-duration, in-the-money consideration on the IHAK because bid/ask spreads may be a bit too wide on longer-duration considerations at the moment.

Our fourth idea is long put options on KraneShares CSI China Internet ETF (KWEB) with a $46 strike price that expire November 19, 2021. The holdings within the KWEB ETF are largely comprised of mid-sized and large cap Chinese tech firms operating in the Internet-platform economy (more on that here).

Chinese authorities are cracking down hard on Chinese-based tech titans and the Internet-platform economy more broadly, a situation we recently covered in great detail (link here). We strongly encourage members to check out that article to get an idea of how the crackdown began, what laws and rules are being changed, and how the crackdown has already significantly impacted the businesses of tech giants from Alibaba Group Holding Ltd (BABA) to DiDi Global Inc (DIDI) to Tencent Music Entertainment Group (TME) and other major Chinese tech companies.

Shares of KWEB ETF are down sharply over the past several months, and in our view, there is ample room for shares to fall further as China continues its aggressive crackdown on private firms.

Please let us know if you have any questions.

Please always note the dates of the articles in the options commentary stream that follows this article.

Always our very best,

The Valuentum Team
www.valuentum.com

Please note that with options trading, investors can lose their entire premium. Don't ever trade with money that you can't afford to lose. Valuentum is an investment research publisher and accepts no liability for how readers may choose to utilize the content. By continuing with your additional options commentary membership, you accept our Terms and Conditions. If you do not agree with the Terms and Conditions, you must stop using this service and cancel your additional options commentary membership.
Image Shown: Shares of Microsoft Corporation are on an upward tear of late.
Please always note the dates of the articles in the options commentary stream that follows this article. We hope you find this format helpful. Performance is hypothetical and no trading is taking place.

August 19, 2021

Dear members:

Today, we're closing two winning ideas.

First, we're closing the long call options idea on Public Storage (PSA) with a $320 strike price that expire December 17, 2021. At the time of highlight, contracts were trading at $9.40/$10.50, according to data from YahooFinance. Today, they are trading at $13.60/$14.70 -- good for a solid hypothetical "gain."

Second, we're closing the long call options idea on UnitedHealth Group Inc (UNH) with a $430 strike price that expire December 17, 2021. At the time of highlight, contracts were trading at $15.00/$16.00, according to data from YahooFinance. Today, they are trading at $17.05/$18.10 -- good for a modest hypothetical "gain."

Now, on to the new ideas!

Today, we’re highlighting the first and second options ideas for the month of August 2021. Our first idea is long put options on ARK Innovation ETF (ARKK) with a $110 strike price that expire December 17, 2021. Please note that while we are still bullish on equities that make up the NASDAQ over the long haul, selling pressures seen of late for next-generation companies may create some volatility in the near term.

Michael Burry of Scion Asset Management recently initiated a short position against the ARKK ETF according to a regulatory filing, which prompted Cathie Wood (founder, CEO, and CIO of ARK Invest) to fire back via social media. In our view, both could be right (with the timing of each thesis being different). Regardless, however, we expect Mr. Burry's take to stir up some volatility in the short term, increasing the value of such put contracts.

Furthermore, concerns regarding the profitability and growth prospects for the various firms included in the ARKK ETF (see picture down below) are building, while worries are also growing regarding potential monetary policy changes from the Federal Reserve. These dynamics, in our view, may add to the outsize volatility we expect in the various holdings within the ETF and ultimately the ARKK ETF, itself, in the coming months.

In the longer run, however, we continue to be bullish on many of the constituents in the ARKK ETF. This long put option idea should be viewed as a near-term consideration to capitalize on the potential for increased value to be ascribed to implied volatility embedded within the put option contracts, and may be considered a hedge for many aggressive growth investors that already have exposure to the underlying.
Image Shown: The holdings within the ARKK ETF as of August 17, 2021. Image Source: ARK Invest – ARK Innovation ETF Website PDF
Our second idea for the month of August 2021 is long call options on Microsoft Corporation (MSFT) with a $300 strike price that expire December 17, 2021. As many readers of Valuentum know, we are huge fans of this tried-and-true tech behemoth. The top end of Microsoft’s fair value estimate range sits at $360 per share, and the technical strength seen at shares of MSFT of late indicate that investors may continue to pile into the name, in our view.

Microsoft’s pivot towards subscription sales during the past several fiscal years and its enduring strength in cloud computing (Azure), productivity apps (Office), gaming (Xbox), business-oriented social media (LinkedIn), and enterprise-facing offerings (Dynamics 365) along with its net-cash rich balance sheet and stellar free cash flow generating abilities underpin why we are immense fans of the name. We see ample room for shares of MSFT to keep marching higher over the coming months.

We're available for any questions.

Please always note the dates of the articles in the options commentary stream that follows this article.

Kind regards,

The Valuentum Team
www.valuentum.com

With options trading, investors can lose their entire premium. Don't ever trade with money that you can't afford to lose. Valuentum is an investment research publisher and accepts no liability for how readers may choose to utilize the content. By continuing with your additional options commentary membership, you accept our Terms and Conditions. If you do not agree with the Terms and Conditions, you must stop using this service and cancel your additional options commentary membership.
Image Shown: Shares of Facebook Inc (orange line) and Alphabet Inc Class C shares (blue line) are on a nice upward trend over the past six months, and we see ample room for further capital appreciation upside going forward.
Please always note the dates of the articles in the options commentary stream that follows this article. We hope you find this format helpful. Performance is hypothetical and no trading is taking place.

July 30, 2021

Dear members:

Today, we are highlighting our third and fourth options ideas for the month of July 2021. Our third idea is long call options on Facebook Inc (FB) with a $375 strike price that expire November 19, 2021. Facebook reported a stellar second-quarter earnings report on July 28 that beat both consensus top- and bottom-line estimates, though shares sold off moderately the following day as the company’s near-term guidance came in a tad lighter than what the market had hoped. We liked what we saw in Facebook’s latest earnings report.

In the second quarter of 2021, Facebook’s GAAP revenues surged higher by 56% year-over-year, aided by Facebook’s impressive pricing power (management noted Facebook’s average price per ad was up 47% during the firm’s latest earnings call), and its GAAP operating income more than doubled year-over-year. Facebook generated $16.6 billion in free cash flow during the first half of 2021, more than double year-ago levels, and the firm spent $11.0 billion buying back its Class A common stock during the first half of this year. The firm exited June 2021 with $64.1 billion in cash, cash equivalents, and short-term marketable securities on hand with no debt on the books. Facebook’s fortress-like balance sheet is an immense source of strength.

We continue to be enormous fans of the social media giant. Recently, we updated our valuation model covering Facebook. Under our “base” case scenario, Facebook’s fair value estimate now sits at $515 per share, well above where shares of FB are trading at as of this writing. Facebook’s capital appreciation upside remains tremendous, in our view.

Our fourth options idea for the month of July 2021 is long call options on Alphabet Inc (GOOG) (GOOGL), specifically its Class C shares (ticker: GOOG) with a $2,850 strike price that expire November 19, 2021. Alphabet reported second quarter 2021 earnings on July 27 that smashed past consensus top- and bottom-line estimates, with the firm reporting strong growth across the board. Its ‘Google Advertising’ revenues were up 69% year-over-year, its ‘Google Other’ revenues were up 29%, and its ‘Google Cloud’ revenues were up 54% year-over-year last quarter.

Looking ahead, Alphabet is getting ready to launch the next iteration of its Android mobile OS with a heavy focus on privacy in light of Apple Inc’s (AAPL) emphasis on the issue of late. Alphabet’s management team had this to say during the firm’s latest earnings call:

“Turning to Android. We previewed Android 12 at Google I/O. The latest version will include new ways to personalize devices and significantly improved speed and power efficiency. We have built new privacy protections directly into the OS, such as the new Privacy Dashboard, to help people keep information safe and private. Android 12 will, of course, be central to Google's own devices. I'm very excited by our fall lineup, which will showcase Android 12 and some of the deep technology investments that are helping us push boundaries.” --- Sundar Pichai, CEO of Alphabet

Alphabet generated $29.7 billion in free cash flow during the first half of 2021, more than double year-ago levels, and spent $15.3 billion buying back its stock during this period. The firm authorized a $50.0 billion share buyback program in April 2021, which we view as a good use of capital given that shares of Alphabet are trading well below out estimate of their intrinsic value as of this writing (in July 2021, the buyback program was amended to cover both Class A and Class C shares). Alphabet’s balance sheet remains pristine as the company exited June 2021 with a $122.8 billion net cash position (no short-term debt on the books, and not including long-term non-marketable investments).

We recently updated our valuation model covering Alphabet. Under our “base” case scenario, our fair value estimate for Alphabet Class C shares sits at $3,500 per share, well above where shares of GOOG are trading as of this writing. We view Alphabet’s capital appreciation upside quite favorably. We're available for any questions. Thanks for your continued membership to our additional options commentary.

Please always note the dates of the articles in the options commentary stream that follows this article.

Kind regards,

The Valuentum Team
www.valuentum.com

With options trading, investors can lose their entire premium. Don't ever trade with money that you can't afford to lose. Valuentum is an investment research publisher and accepts no liability for how readers may choose to utilize the content. By continuing with your additional options commentary membership, you accept our Terms and Conditions. If you do not agree with the Terms and Conditions, you must stop using this service and cancel your additional options commentary membership.
Image Shown: Shares of UnitedHealth Group Inc (in blue) and Public Storage (in orange) have surged higher over the past six months, and we see room for substantial capital appreciation upside at both firms going forward.
July 22, 2021

Please always note the dates of the articles in the options commentary stream that follows this article. We hope you find this format helpful. Performance is hypothetical and no trading is taking place.

Dear members:

Today, we are highlighting our first and second options ideas for the month of July 2021. Our first options idea is long call options on Public Storage (PSA) with a $320 strike price that expire December 17, 2021. We are enormous fans of the self-storage real estate investment trust (‘REIT’) space.
Many publicly-traded firms in this industry, including Public Storage, have the capacity to generate positive free cash flows (after cash dividends paid) while most REITs in other industries tend to struggle to cover dividend payments with traditional free cash flow due to their hefty capital expenditure requirements.

Furthermore, the growth outlook for the self-storage industry, particularly in the US, is incredibly promising at a time when housing affordability issues are on the rise. Here is what we had to say in our June 2021 article covering Public Storage (link here):

"On June 7Public Storage reported that its square foot occupancy rate stood at 96.5% as of May 31, 2021. For comparison, Public Storage’s square foot occupancy rate stood at 92.7% as of March 31, 2020, and at 94.2% as of December 31, 2020. We appreciate the apparent strong demand for Public Storage’s offerings and see room for additional upside. Secular tailwinds support Public Storage’s outlook as an increasing number of US households are turning to self-storage offerings to maximize their living spaces in an economical manner. Having healthy occupancy rates speaks favorably towards Public Storage’s ability to push through rental increases and grow its same-store net operating income (‘NOI’) over time."

Shares of PSA have been surging higher of late and we see room for additional upside. The company’s near-term outlook has improved immensely over the past few months (rental rate increases have resumed in earnest) while its long-term growth trajectory is simply stellar. Investors are increasingly warming up to Public Storage’s ample upside, and shares of PSA are trading just below their all-time highs as of this writing.

Our second options idea for the month of July 2021 is long call options on UnitedHealth Group Inc (UNH) with a $430 strike price that expire December 17, 2021. The healthcare insurance and services provider reported a stellar earnings report on July 15 that beat both consensus top-and bottom-line estimates. Furthermore, UnitedHealth Group once again raised its full-year 2021 earnings guidance in conjunction with its earnings update as we covered in a recent article (link here):

"Back in December 2020, UnitedHealth Group provided its initial guidance for 2021 that called for $277-$280 billion in revenue and adjusted EPS of $17.75-$18.25 for the full year. Management reiterated that guidance during the company’s fourth-quarter 2020 earnings call, boosted the firm’s adjusted EPS guidance to $18.10-$18.60 during its first quarter 2021 earnings call, and during UnitedHealth Group’s second-quarter 2021 earnings call on July 15, management again boosted the firm’s full-year guidance...

...Now, UnitedHealth Group aims to post $18.30-$18.80 in adjusted EPS in 2021, and we appreciate the steady increases in the firm’s near-term guidance. For reference, UnitedHealth Group posted $16.88 in adjusted EPS in 2020. We believe there is an increased likelihood that the latest guidance is even conservative."

UnitedHealth Group’s free cash flow generating abilities are impressive and its fortress-like balance sheet provides it with ample financial firepower. Here is some additional commentary from our recent note covering the firm:

"[UnitedHealth Group] generated $10.4 billion in free cash flow during the first half of 2021 which easily covered $2.5 billion in dividend obligations and $2.9 billion in share repurchases made during this period. UnitedHealth Group’s balance sheet remained pristine at the end of June 2021 as it exited the second quarter with ~$18.4 billion in net cash on hand (inclusive of short-term debt and long-term investments), though it also has significant non-cancellable financial obligations to be aware of here."

Shares of UNH are marching higher, and we see room for significant capital appreciation upside going forward. The top end of our fair value estimate range sits at $511 per share of UNH. As UnitedHealth Group has been firing on all cylinders of late, it should be able to continue catching the eye of the market at-large and its stock price is currently hovering just below its all-time highs as of this writing.

We're available for any questions.

Please always note the dates of the articles in the options commentary stream that follows this article.

Kind regards,

The Valuentum Team
www.valuentum.com

With options trading, investors can lose their entire premium. Don't ever trade with money that you can't afford to lose. Valuentum is an investment research publisher and accepts no liability for how readers may choose to utilize the content. By continuing with your additional options commentary membership, you accept our Terms and Conditions. If you do not agree with the Terms and Conditions, you must stop using this service and cancel your additional options commentary membership.
July 14, 2021

Please always note the dates of the articles in the options commentary stream that follows this article. We hope you find this format helpful. Performance is hypothetical and no trading is taking place.

Dear members:

Today, we are closing three previously-released options ideas as "winners."

Specifically, we're closing the fourth options idea for the month of June 2021--long call options on Nike Inc (NKE) with a $160 strike price that expire August 20, 2021. The idea was highlighted at a bid/ask spread of $3.30/$3.45, and the contracts are now trading at $5.05/$5.25--good for a very nice hypothetical gain.

We're also closing the third options idea for June 2021--long call options on Lululemon Athletica Inc (LULU) with a $390 strike price that expire September 17, 2021. The idea was highlighted at a bid/ask spread of $11.95/$12.20, and the contracts are now trading at $16.45/$16.80--yet another solid winner!

Finally, for today, we're closing the fourth options idea for the month of April 2021--long call options on Microsoft Corporation (MSFT) with a $265 strike price that expire July 16, 2021. The idea was highlighted with a bid/ask spread of $4.60/$4.80, and the contracts are now trading at $17.20/$17.55--a HUGE win!!!

Thank you all for making the past 10 years the best! Enjoy our 10-year anniversary video below!
Please always note the dates of the articles in the options commentary stream that follows this article.

Kind regards,

The Valuentum Team
www.valuentum.com

Please note that with options trading, investors can lose their entire premium. Don't ever trade with money that you can't afford to lose. Valuentum is an investment research publisher and accepts no liability for how readers may choose to utilize the content. By continuing with your additional options commentary membership, you accept our Terms and Conditions. If you do not agree with the Terms and Conditions, you must stop using this service and cancel your additional options commentary membership.
Image Shown: Shares of Lululemon Athletica Inc are on a nice upward climb of late with ample room to march even higher, in our view.
June 29, 2021

Please always note the dates of the articles in the options commentary stream that follows this article. We hope you find this format helpful. Performance is hypothetical and no trading is taking place.

Dear members:

In January 2021, we highlighted long call options on Virgin Galactic (SPCE) with a $55 strike price that expire January 20, 2023 (about 18-19 months from now). The company recently received FAA clearance to fly customers on future space flights, and traders and WallStreetBets had a field day driving up shares nearly 40% last Friday, to $55.91. Its stock has digested some of those gains the past couple days, and we continue watch the contract value of the previously-highlighted long call option contracts closely. It has been incredible to watch so far.

With that said, today we are highlighting the third and fourth options ideas for the month of June 2021. Our third options idea for June 2021 is long call options on Lululemon Athletica Inc (LULU) with a $390 strike price that expire September 17, 2021. In early June, the athleisure wear company put up a tremendous fiscal first quarter earnings report (period ended May 2, 2021), aided by its stellar omni-channel selling capabilities. Management raised Lululemon’s guidance in the wake of the firm’s strong fiscal first quarter performance, and we are big fans of the firm’s push into the realm of e-commerce early on. Here is what we had to say in our Lululemon’s Growth Outlook Is Bright article published on V.com (link here):

"The company boosted its full-year guidance for fiscal 2021 in conjunction with its latest earnings report. Now Lululemon is guiding for $5.825 billion - $5.905 billion in net revenue (up from $5.55 billion - $5.65 billion previously) and adjusted diluted EPS of $6.73 - $6.86 (up from $6.30 - $6.45 previously) in fiscal 2021. At the midpoint, the firm aims to grow its net revenues by ~33% and its diluted EPS by ~36% on an annual basis this fiscal year…

In the fiscal first quarter, Lululemon’s GAAP revenue grew 88% and its GAAP gross profit more than doubled year-over-year. The company’s GAAP gross margin surged ~580 basis points during this period. Management recently noted that “leverage on occupancy, depreciation and product team costs” combined with higher product margins (even when factoring in logistical headwinds) and favorable foreign currency movements played a key role in supporting Lululemon’s GAAP gross margins last fiscal quarter. The company’s GAAP operating income almost grew six-fold year-over-year last fiscal quarter, aided by economies of scale and stronger gross margin performance."

We continue to view Lululemon’s capital appreciation upside quite favorably as the top end of our fair value estimate range sits at $450 per share, well above where shares of LULU are trading at as of this writing. The company has a pristine balance sheet (i.e., nice net cash position) and impressive free cash flow generating abilities. Shares of LULU are on a nice upward climb of late as investors continue to warm up to Lululemon’s promising long-term growth runway.

Our fourth options idea for the month of June 2021 is long call options on Nike Inc (NKE) with a $160 strike price that expire August 20, 2021. Near the end of June, Nike posted its fourth quarter fiscal 2021 earnings report (period ended May 31, 2021) that saw the firm’s share price rocket higher as investors clearly appreciated the sustained momentum in the company’s direct-to-consumer (‘DTC’) strategy, in our view.

Additionally, as portions of the global economy begin to reopen in earnest in the wake of coronavirus (‘COVID-19’) vaccine distribution efforts, sales of Nike’s products at physical locations are beginning to recover at a time when its e-commerce performance is firing on all cylinders. Here is what we had to say in our Nike Beats Estimates Aided By Its Omni-Channel Selling Strength article published on V.com (link here):

"Compared to the fourth quarter of fiscal 2019 (period ended May 31, 2019), Nike’s GAAP revenues were up 21% in the fourth quarter of fiscal 2021. NIKE Direct represents the backbone of the firm’s direct-to-consumer (‘DTC’) e-commerce strategy and sales were up 73% year-over-year last fiscal quarter. Please note that in the fourth quarter of fiscal 2020 (period ended May 31, 2020), NIKE Direct sales were up 75% year-over-year, highlighting the company’s sustained momentum on this front. NIKE Direct sales represented over a third of Nike’s revenues last fiscal quarter…

Nike’s GAAP gross margin surged higher ~850 basis points year-over-year in the fourth quarter of fiscal 2021 and were up ~30 basis points from its performance in the fourth quarter of fiscal 2019. The company’s stellar omni-channel selling capabilities are having a positive impact not only on its sales performance but its profitability performance as well (i.e., stronger gross margins). We appreciate Nike’s strength on this front and the firm is well-positioned to take advantage of the proliferation of e-commerce activities, in our view."

As with Lululemon, Nike has stellar omni-channel selling capabilities, a pristine balance sheet (i.e., a nice net cash position), and impressive free cash flow generating abilities. We view Nike’s capital appreciation upside quite favorably going forward, and the strong technical performance seen at shares of NKE of late indicate investors are increasingly warming up to the name.

We're available for any questions.

Please always note the dates of the articles in the options commentary stream that follows this article.

Always our very best,

The Valuentum Team
www.valuentum.com

Please note that with options trading, investors can lose their entire premium. Don't ever trade with money that you can't afford to lose. Valuentum is an investment research publisher and accepts no liability for how readers may choose to utilize the content. By continuing with your additional options commentary membership, you accept our Terms and Conditions. If you do not agree with the Terms and Conditions, you must stop using this service and cancel your additional options commentary membership.
Image Shown: Shares of Energy Select Sector SPDR Fund ETF are climbing higher as raw energy resources pricing, from crude oil to natural gas, has rebounded strongly of late.
June 22, 2021

Please always note the dates of the articles in the options commentary stream that follows this article. We hope you find this format helpful. Performance is hypothetical and no trading is taking place.

Dear members:

Trust you are doing great. Today, we are highlighting our first two options ideas for the month of June 2021, but we're going to close a few winners first.

1) We are closing the third idea for the month of May 2021--long call options on PayPal Holdings Inc (PYPL) with a $270 strike price that expire August 20, 2021. The idea was highlighted with a bid/ask spread of $11.75-$11.95, and now the contracts are priced at $22.40-$22.60, according to YahooFinance. Yet another nice idea!

2) We are closing our second options idea for the month of May 2021--long call options on Domino’s Pizza Inc (DPZ) with a $450 strike price that expire on September 17, 2021. The long call options on DPZ were highlighted with a bid/ask spread of $12.70-$16.70, and they now are trading at $27.90-$30.40, according to YahooFinance. The idea worked out nicely!

3) We are closing the second options idea for the month of April 2021--long call options on Philip Morris International Inc (PM) with a $100 strike price that expire September 17, 2021. The idea had a bid/ask spread of $2.28-$2.70 at highlight, and now the contracts are trading at $3.40-$3.50, according to the latest data from YahooFinance.

With these three latest winners now in the rear-view mirror, let's move on to the first two new options ideas for the month of June.

The first options idea for June 2021 is long put options on Korea Electric Power Corporation (KEP) with a $10 strike price that expire September 17, 2021. We caution that option volumes on Korea Electric Power, abbreviated KEPCO, are limited and that bid-ask spreads can be quite wide. The South Korean electric utility is majority owned by government entities including state-run Korea Development Bank, the South Korean government, and the National Pension Services. Collectively, these three entities own over 60% of KEPCO’s shares. KEPCO owns electric generation, transmission, and distribution assets primarily in South Korea, though it also has an international footprint along with other assets.

KEPCO’s ownership structure is important to be aware of as the South Korean government recently decided to leave electricity tariff rates flat for the third quarter of 2021 to curb inflation (in this instance, electricity tariffs represents the cost of electricity). However, fuel costs are surging and KEPCO operates numerous power plants that run on coal, natural gas, and oil. KEPCO’s margins are facing tremendous short-term headwinds. Optimism over a revamped billing system (one focused more on market forces that incorporate fuel cost fluctuations) is turning sour as it is clear the South Korean government still intends, at least for now, to play a dominant role in the electric utility space.

Electricity tariffs may get a boost in the fourth quarter of this year, particularly if fuel costs keep soaring (or simply stay where they are). Given the South Korean government’s stance on the issue and inflation, it is unlikely that the potential electricity tariff increases will fully offset higher fuel costs. Shares of KEP faced serious selling pressure on June 21 after the news broke, and we expect KEPCO will continue to face sizable headwinds going forward.

Pivoting here, our second options idea for the month of June 2021 is long call options on Energy Select Sector SPDR Fund ETF (XLE) with a $56 strike price that expire September 17, 2021. The reasoning behind this idea is straightforward. Raw energy resources pricing, from crude oil to natural gas, has staged an impressive recovery over the past several months, aided by optimism regarding coronavirus (‘COVID-19’) vaccine distribution efforts and expectations that the global economy will stage a sharp, though uneven, recovery from the pandemic. Additionally, the OPEC+ oil cartel has held substantial volumes of crude oil supplies off the market since 2020 and continues to do so in a bid to prop up prices while production in non-OPEC nations, such as the US, took a beating during the worst of the pandemic and has not fully recovered.

OPEC+ is steadily easing supply curtailments but that has not stopped the rally in WTI and Brent as demand continues to recover in earnest. Domestic air travel is rebounding in China, the US, and elsewhere which supports the demand outlook for kerosene (jet fuel). The resumption of “normal” daily activities, such as commuting to work, is helping drive up demand for gasoline and diesel, as is strong demand for home delivery services and physical goods (though spending on services should improve going forward as the economy opens back up).

The XLE ETF is up ~43% year-to-date as of this writing according to YahooFinance data and we see room for further upside. As of June 18, ExxonMobil Corporation (XOM) and Chevron Corporation (CVX) represented ~44% of the ETF’s holdings with ConocoPhillips (COP), Schlumberger N.V. (SLB), EOG Resources Inc (EOG), Marathon Petroleum Corporation (MPC), Phillips 66 (PSX), Pioneer Natural Resources Company (PXD), Kinder Morgan Inc (KMI) Class P shares, and Williams Companies Inc (WMB) representing an additional ~33% of the ETF’s holdings.

We like the ETF’s focus on heavyweights in the energy industry and see room for additional upside in the near future given that raw energy resources pricing remains quite favorable while refined petroleum product demand continues to recover in earnest. Please let us know if you have any questions. Thanks for your membership to our additional options commentary.

Please always note the dates of the articles in the options commentary stream that follows this article.

Always our very best,

The Valuentum Team
www.valuentum.com

Please note that with options trading, investors can lose their entire premium. Don't ever trade with money that you can't afford to lose. Valuentum is an investment research publisher and accepts no liability for how readers may choose to utilize the content. By continuing with your additional options commentary membership, you accept our Terms and Conditions. If you do not agree with the Terms and Conditions, you must stop using this service and cancel your additional options commentary membership.
May 28, 2021

Our latest update to the options commentary table. Please note the table incorporates the changes made today, May 28, in the commentary that follows the table. We're available for any questions.
Image Shown: The Financial Select Sector SPDR Fund ETF has been on a nice upward swing of late. We see room for the ETF to continue moving higher as the economic backdrop is improving in the wake of coronavirus (‘COVID-19’) vaccine distribution efforts.
May 28, 2021

Please always note the dates of the articles in the options commentary stream that follows this article. We hope you find this format helpful. Performance is hypothetical and no trading is taking place.

Dear members:

Today, we'll be highlighting our third and fourth options ideas for the month of May 2021, but before we do, we're making a few changes. We'll be "closing" the previously-highlighted ideas of ASML Holding (ASML) (long calls) and Johnson & Johnson (JNJ) (long calls) as "wins" today, while closing the previously-highlighted ideas on the SPDR S&P 500 ETF Trust (SPY) (long puts) and Albemarle Corp. (ALB) (long calls) to preserve the remaining residual premium value. Please let us know if you require further details (see table above).

Our third idea for the month of May 2021 is long call options on PayPal Holdings Inc (PYPL) with a $270 strike price that expire August 20, 2021. The fintech company is well-positioned to capitalize on the ongoing proliferation of e-commerce and only recently has the firm started to seriously monetize its popular peer-to-peer money transfer app Venmo. PayPal also has been steadily bulking up the capabilities of its digital wallet offerings with an eye towards enabling cryptocurrency transactions.

We view PayPal’s capital appreciation upside quite favorably. The top end of our fair value estimate range sits at $334 per share of PYPL, well above where shares of PayPal are trading as of this writing. PayPal’s strong technical performance of late indicates investors are warming up to the firm’s promising growth story, in our view.

During an Investor Day event hosted this past February, PayPal noted that its goal was to roughly double its free cash flow by 2025 using 2020 levels as a baseline. We covered why we are huge fans of PayPal in this article here and our thoughts on its latest earnings report here.

Our fourth options idea for the month of May 2021 is long call options on the Financial Select Sector SPDR Fund ETF (XLF) with a $40 strike price that expire August 20, 2021. Ongoing COVID-19 vaccine distribution efforts supports the outlook for the US economy and the global economy, which in turn supports the outlook for net interest margins (‘NIMs’) at banks and other financial institutions. Credit write-offs have been less aggressive than initially feared at major US banks (something we covered here), aided by major fiscal and monetary stimulus measures enacted at the federal level.

The strong technical performance seen at the XLF ETF of late indicates investors are warming up to the financial sector, too, likely due to the improving outlook for NIMs given the ETF’s exposure to the banking space and interest rates as it concerns the ETF’s exposure to the insurance space. Over 80% of the ETF’s holdings are in companies that operate in the banking, capital markets, and/or insurance industries as of late May 2021. Its largest five holdings are Berkshire Hathaway Inc (BRK.A) (BRK.B), JPMorgan Chase & Co (JPM), Bank of America Corporation (BAC), Wells Fargo & Co (WFC), and Citigroup Inc (C). We view the XLF ETF’s capital appreciation upside quite favorably.

We continue to monitor previously-highlighted ideas closely, and thus far, we've been pleased with the mix of idea generation (as detailed in the table above). We're available for any questions and look forward to generating more ideas in the month of June!

Always our very best.

Please always note the dates of the articles in the options commentary stream that follows this article. We hope you find this format helpful. Performance is hypothetical and no trading is taking place.

Kind regards,

The Valuentum Team
www.valuentum.com

Please note that with options trading, investors can lose their entire premium. Don't ever trade with money that you can't afford to lose. Valuentum is an investment research publisher and accepts no liability for how readers may choose to utilize the content. By continuing with your additional options commentary membership, you accept our Terms and Conditions. If you do not agree with the Terms and Conditions, you must stop using this service and cancel your additional options commentary membership.
Image Shown: ASML Holding NV is an interesting way to gain exposure to the semiconductor industry as it makes the lithography systems that are essential in the semiconductor production process. That includes high-end chips. In our view, the company’s outlook is quite bright.
May 21, 2021

Please always note the dates of the articles in the options commentary stream that follows this article. We hope you find this format helpful. Performance is hypothetical and no trading is taking place.

Dear members:

Today, May 21, we are highlighting the first and second options ideas for the month of May 2021.

Starting with our new long call option idea on ASML Holding NV (ASML) with a $700 strike price that expires October 15, 2021, our thesis is underpinned by the incredibly promising demand outlook for semiconductors that is supported by secular tailwinds. ASML Holding makes the lithography systems that are an essential part of the semiconductor production process. These systems are in high demand as fabrication facilities (which use ASML Holding’s equipment to produce chips) are currently unable to keep up with demand from certain industries (especially the auto industry).

ASML Holding is a stellar free cash flow generator with a strong balance sheet and bright growth outlook. Here is what we had to say in our first article covering the company, published back in April 2020 (link here):

"Looking out to the middle of this decade, ASML sees a bright growth trajectory ahead of it. Back in November 2018, ASML issued long-term guidance that noted its annual revenues could grow to €15.0 billion - €24.0 billion by 2025. Under either scenario, ASML would experience strong top-line growth, with that trajectory underpinned by the launch of its next EUV system and more broadly, growing semiconductor demand worldwide...

...The rise of autonomous and semi-autonomous vehicles, for example, will create a lot of demand for semiconductors as those vehicles will need a lot more computing power than current models. There’s also the Internet of Things (‘IoT’) trend to consider, as more and more everyday products become digitally integrated (from refrigerators and coffee makers to “smart” home systems and more)."

Automakers around the world are being forced to cut back production due to an ongoing shortage of chips, and semiconductor foundries are running at full capacity to meet demand (which in turn supports the near-term outlook of ASML Holding). In our follow-up article covering ASML Holding published January 2021 (link here), we noted that (lightly edited):

"[ASML Holding’s] operational and financial performance proved to be incredibly resilient during the coronavirus (‘COVID-19’) pandemic. [The firm] reported annual revenue growth at both its ‘net system sales’ and ‘net service and field option sales’ in 2020 which highlighted the firm’s ability to continue meeting strong customer demand even in the face of serious exogenous headwinds. Last year, ASML Holding’s GAAP revenues grew by 18% and its GAAP gross margin surged higher by almost 400 basis points year-over-year... 

...The company’s GAAP operating income jumped higher by 45% year-over-year in 2020, aided by economies of scale, gross margin expansion and significant revenue growth. Management cited strength at its deep ultraviolet (‘DUV’) lithography offerings, extreme ultraviolet (‘EUV’) lithography offerings and 'upgrade business' as being key during ASML Holding’s fourth quarter of 2020 earnings call."

We view ASML Holding’s capital appreciation upside potential quite favorably going forward. The company expects its revenues to grow by double-digits this year, according to guidance issued during its fourth quarter of 2020 earnings call. During its first quarter of 2021 earnings call, ASML Holding noted that it continued to view its growth runway through 2025 quite favorably (and management stated the firm would provide an update on that outlook this upcoming September during a planned investor day event).

Pivoting to our second options idea for the month of May 2021, we are highlighting long call options on Domino’s Pizza Inc (DPZ) with a $450 strike price that expire on September 17, 2021. Domino’s is simply a stellar franchise-heavy business with tremendous free cash flow generating abilities and considerable growth potential.

The company has its own delivery operations, meaning it is not dependent on the likes of food delivery firms such as DoorDash Inc (DASH) (unlike many of its competitors). This helps support DPZ franchisee margins. Domino’s also has a top-notch digital presence, which the firm has placed a great emphasis on improving and building up over the past several years. Here is what we had to say in an April 2021 article covering Domino’s (link here) regarding its first quarter of 2021 earnings report (lightly edited):

"On Thursday, April 29, Domino’s reported first-quarter 2021 numbers, and they were remarkable. U.S. same store sales advanced 13.4%, international same store sales leapt 11.8%, as the firm opened 175 stores during the period (36 in the U.S. and 139 internationally). The company is already the largest pizza chain the world (~17% of global market share in quick-service pizza), but store economics are so attractive to entrepreneurs that it’s difficult for franchisees not to continue to expand. Domino’s mostly-franchised (98%) business model is a win-win for investors, too, as capital spending remains light, while operating cash flow keeps coming in the door. Free cash flow was $136.3 million in the first quarter, with capex just ~11% of operating cash flow…

...Domino’s has the right business model for the digital economy, and we expect robust net unit growth and retail sales growth in the mid-to-high single-digit range over the next few years. This asset-light, free-cash-flow generating franchisor is stealing market share hand over fist from its rivals, while it drives robust earnings expansion and buys back its own stock (it has a $1 billion repurchase authorization, as of February 2021)."

Domino’s is well-positioned for the digital economy and has a long growth runway ahead of it, with management seeing room for thousands of additional store locations around the world in the coming years. The attractive unit economics for franchisees supports the company’s promising total store count growth outlook, in our view. We think the capital appreciation upside potential of Domino’s is quite favorable going forward.

That covers our first two option idea considerations for May. We plan to update members on some of our previously-released ideas in the coming days. In the meantime, we're available for any questions. Thank you!

Please always note the dates of the articles in the options commentary stream that follows this article. We hope you find this format helpful. Performance is hypothetical and no trading is taking place.

Kind regards,

The Valuentum Team
www.valuentum.com

Please note that with options trading, investors can lose their entire premium. Don't ever trade with money that you can't afford to lose. Valuentum is an investment research publisher and accepts no liability for how readers may choose to utilize the content. By continuing with your additional options commentary membership, you accept our Terms and Conditions. If you do not agree with the Terms and Conditions, you must stop using this service and cancel your additional options commentary membership.
Image Shown: Shares of Amazon Inc are on a nice upward climb of late.
April 30, 2021

Dear members:

Today, April 30, we are highlighting our third and fourth options ideas for the month of April 2021. But before we do, we're "closing" out another nice winner.

On March 31, we highlighted long call options on Facebook Inc (FB) with a $320 strike price that expire June 18, 2021. At the time of highlight, the contracts had a bid/ask spread of $9.50/$9.65, according to YahooFinance. Today, the contracts are trading at a bid/ask spread of $17.80/$18.00 based on YahooFinance data -- good for another solid "win." Note that we "closed" the previously-highlighted long call options in GOOG and AAPL on April 22 (see email chain that follows) for solid "wins," too. We continue to have success within the strong areas of large cap growth/big cap tech, and we'll be sticking within this space for the third and fourth options ideas for April 2021.

Our third options idea for April is long call options on Amazon Inc (AMZN) with a $4,000 strike price that expire July 16, 2021. Amazon is well-positioned to capitalize on several powerful secular growth tailwinds including the ongoing proliferation of cloud-computing, digital advertising, and e-commerce activities along with upside from its growing logistics business. Shares of Amazon are trading well below the top end of our fair value estimate range as of this writing, which sits at $4,179 per share. The strong technical performance witnessed at shares of AMZN of late indicates investors are increasingly warming up to the company’s promising long-term free cash flow growth story, and we view its capital appreciation upside favorably.

When Amazon reported its first-quarter 2021 earnings report on April 29, the company smashed past consensus top- and bottom-line estimates. Amazon’s ‘Other’ business operating segment, which includes its burgeoning digital advertising business, posted 73% year-over-year sales growth last quarter when excluding foreign currency movements. Its cloud computing business, Amazon Web Services (‘AWS’), posted 32% year-over-year sales growth when excluding foreign currency movements last quarter. Amazon’s e-commerce business also put up strong performance last quarter, indicating the company continues to fire on all cylinders.

Our fourth options idea for the month of April 2021 is long call options on Microsoft Corporation (MSFT) with a $265 strike price that expire July 16, 2021. We continue to be fans of Microsoft as its Azure (cloud-computing offerings), Dynamics 365 (enterprise resource planning and customer relationship management offerings), and other business segments have grown at a brisk pace of late. Its Azure and Dynamics 365 offerings are built on subscription models, creating highly visible revenue streams that result in stronger cash flow profiles. Microsoft has also been pivoting large parts of its consumer-facing offerings and productivity applications toward subscription business models during the past few years with much success.

Shares of Microsoft are trading well below the top end of our fair value estimate range as of this writing, which sits at $317 per share of MSFT. We covered Microsoft’s latest earnings report in this article here. In short, Microsoft smashed past both consensus top- and bottom-line estimates when it reported fiscal third quarter earnings on April 27 (which covered the first quarter of the 2021 calendar year) and continued to churn out gobs of free cash flow. After Microsoft’s latest earnings report was published, some profit taking activities took place (which saw shares of MSFT pull back modestly), but we continue to have a positive view towards its capital appreciation upside going forward. We think Microsoft’s growth runway is simply enormous.

We hope you continue to enjoy your membership to our additional options commentary. If you have any questions, please just let us know. Always our very best.

Please always note the dates of the articles in the options commentary stream that follows this article. We hope you find this format helpful. Performance is hypothetical and no trading is taking place.

Kind regards,

The Valuentum Team
www.valuentum.com

Please note that with options trading, investors can lose their entire premium. Don't ever trade with money that you can't afford to lose. Valuentum is an investment research publisher and accepts no liability for how readers may choose to utilize the content. By continuing with your additional options commentary membership, you accept our Terms and Conditions. If you do not agree with the Terms and Conditions, you must stop using this service and cancel your additional options commentary membership.
April 22, 2021

Dear members:

Today, April 22, we are highlighting our first and second options ideas for the month of April 2021, but before we dive into them, we're making a few moves on prior ideas.

The long call option on CRISPR Therapeutics with a $220 strike price expired April 16, and at times, we expect a certain portion of option idea considerations to expire worthless. We're also "closing" the FCX long calls as time is running out on them and the market is moving against shares. FCX staged a strong comeback, but the long calls didn't quite land in the win column. We're "closing" them at this time to preserve the residual value (premium) remaining on the contracts.

Not all news is somber, however. On February, 27, 2021, we highlighted long call options on Alphabet Inc (GOOG) (GOOGL) Class C shares (ticker GOOG) with a $2,200 strike price that expire May 21, 2021. At the time of highlight, the long call options were trading at a bid/ask spread $60.40-$68.30. According to YahooFinance, they are now trading at a bid/ask spread of $134.40-$136.90, so this turned into a solid "win."

On March 31, we highlighted long call options on Apple Inc (AAPL) with a $130 strike price that expire June 18, 2021. At the time of highlight, the bid/ask spread was approximately $4.00-$4.05. According to YahooFinance, the bid/ask spread for the contracts is now $7.70-$7.80, another nice "win." We've had a lot of success with big cap tech, and we continue to watch our previously highlighted long call option ideas on Facebook (FB) and Albemarle (ALB) very closely -- see article stream that follows for more info.

With that said, the first options idea for the month of April 2021 is long call options on Johnson & Johnson (JNJ) with a strike price of $170 that expire July 16, 2021. Johnson & Johnson reported a stellar first quarter earnings report on April 20. The firm beat both consensus top- and bottom-line estimates, raised its full year guidance for 2021 (as it concerns its expected non-GAAP adjusted operational sales and adjusted operational EPS performance) and pushed through a nice dividend increase as we covered in our recent note here.

Shares of JNJ are on a nice upward climb of late as investors are increasingly warming up to its stellar free cash flow generating abilities and promising growth outlook as demand for the firm’s medical devices continues to recover. We recently updated our valuation model covering Johnson & Johnson and the top end of our fair value estimate range sits at $179 per share. After its latest earnings report, it appears Johnson & Johnson is beginning to converge towards the upper end of our fair value estimate range. We view Johnson & Johnson’s capital appreciation upside quite favorably.

Our second options idea for the month of April 2021 is long call options on Philip Morris International Inc (PM) with a $100 strike price that expire September 17, 2021. As with Johnson & Johnson, Philip Morris also reported a stellar first quarter 2021 earnings report on April 20 that saw Philip Morris beat both consensus top- and bottom-line estimates and raise its full-year non-GAAP adjusted diluted EPS guidance for 2021. Strength at its heated tobacco unit (‘HTU’) offerings were a big reason for Philip Morris’ strong performance last quarter (and its recent guidance boost), a topic we have covered extensively in the past (I, II), as its IQOS offering continues to win over traditional smokers who want to change their smoking habits.

At the end of the first quarter of this year, Philip Morris estimates that its IQOS offering had 19.1 million users with 14.0 million of those users being former smokers who had quit smoking traditional tobacco offerings. For reference, IQOS had 10.4 million users as of the first quarter of 2019, according to the company’s estimates. Pricing strength at Philip Morris’ traditional cigarette offerings (such as its popular Marlboro brand) and growth at its HTU offerings (which represented 13% of the firm’s total volumes in the first quarter of this year) supports the company’s free cash flow growth outlook--as does its relatively modest capital expenditure requirements. In our view, recent technical strength seen at shares of PM has legs, and we view the firm’s capital appreciation upside quite favorably.

Companies with improving growth outlooks and strong free cash flow generating abilities represent some of the best ways to capitalize on the uneven but ongoing recovery in the global economy. Please let us know if you have any questions.

Always our very best.

Please always note the dates of the articles in the options commentary stream that follows this article. We hope you find this format helpful. Performance is hypothetical and no trading is taking place.

Kind regards,

The Valuentum Team
www.valuentum.com

Please note that with options trading, investors can lose their entire premium. Don't ever trade with money that you can't afford to lose. Valuentum is an investment research publisher and accepts no liability for how readers may choose to utilize the content. By continuing with your additional options commentary membership, you accept our Terms and Conditions. If you do not agree with the Terms and Conditions, you must stop using this service and cancel your additional options commentary membership.
Image Shown: Shares of Facebook Inc (FB) are trading at an incredibly steep discount to their intrinsic value on an enterprise cash flow basis as of this writing. Our fair value estimate for Facebook sits at $413 per share with room for substantial upside as the top end of our fair value estimate range sits at $516 per share. In our view, Facebook is one of the most undervalued equities out there.

March 31, 2021

Dear members:

Today, March 31, we are highlighting our third and fourth options ideas for the month of March 2021.

Our third options idea for this month is long call options on Apple Inc (AAPL) with a $130 strike price that expire June 18, 2021. As of late March, shares of AAPL are trading well below our fair value estimate of $140 per share (with room for upside as the top end of our fair value estimate range sits at $168 per share). We covered Apple’s latest earnings report here and continue to be impressed with its fortress-like balance sheet, stellar free cash flow generating abilities, and promising growth outlook.

The launch of its first-5G capable smartphone last year (the iPhone 12 series) will provide Apple with a powerful growth catalyst in the near term, though what we are most excited about most is Apple’s ability to grow its high-margin digital services business by leveraging its massive installed hardware base. We covered our thoughts on Apple’s financial tech growth endeavors here. Apple will likely report its fiscal second quarter earnings next month, and we view its near-term capital appreciation potential favorably.

Shifting gears, our fourth options idea for this month is long call options on Facebook Inc (FB) with a $320 strike price that expire June 18, 2021. Facebook is an amazing company with stellar free cash flow generating abilities, a pristine balance sheet, and an extensive growth runway in multiple lucrative arenas (we covered Facebook’s latest earnings report here). Beyond digital advertising, Facebook’s bread-and-butter as things stand today, the social media giant’s e-commerce and payment processing upside is quite intriguing.

Facebook acquired just under a 10% equity stake in India’s Jio Platforms (offers 4G wireless services and operates digital platforms) from Reliance Industries for ~$5.8 billion in cash through a transaction that closed in July 2020. This deal will help set the stage for Facebook to build a nice e-commerce and payment processing business built around its WhatsApp operation with its partners (we covered this potential upside here and here).

Bigger picture, 1) the expected growth in the global middle class and 2) the favorable impact such expansion will have on Facebook’s ability to monetize its international user base (particularly users outside of the US, Canada, and Western Europe) should provide the social media giant with an incredibly powerful tailwind with respect to growing its digital advertising business in the years and decades to come (we covered this dynamic here).

In our view, Facebook is one of the most undervalued equities out there on the basis of its forecasted future discounted free cash flows. Our fair value estimate for Facebook sits at $413 per share with room for upside. Should regulators attempt to break Facebook up into separate companies, we view that as a potential catalyst for driving shares of FB towards their intrinsic value as investors start to evaluate the firm on a sum-of-the-parts basis (we covered out thoughts on this situation here). Facebook is one of our favorite capital appreciation opportunities, and we think call options look attractive at present levels.

Always our very best.

Please always note the dates of the articles in the options commentary stream that follows this article. We hope you find this format helpful. Performance is hypothetical and no trading is taking place.

Kind regards,

The Valuentum Team
www.valuentum.com

Please note that with options trading, investors can lose their entire premium. Don't ever trade with money that you can't afford to lose. Valuentum is an investment research publisher and accepts no liability for how readers may choose to utilize the content. By continuing with your additional options commentary membership, you accept our Terms and Conditions. If you do not agree with the Terms and Conditions, you must stop using this service and cancel your additional options commentary membership.
From March 18 -- OPTIONS: SPY (new), ALB (new), and More!
Image Shown: The S&P 500 index is now trading above the top end of our fair value estimate range as of mid-day on March 18, 2021.
March 18, 2021

Dear members:

Today, we're making a few moves.

First, we'll be letting the put option on Boeing (BA) expire tomorrow, and we're now closing the latest General Motors' (GM) call option idea. Boeing's shares continue to act irrationally exuberant, in our view, while we just came up short on a "win" with GM. Second, we're closing the call option idea on Kraft-Heinz (KHC). According to YahooFinance, the current bid/ask spread for the KHC contracts is $2.07-$2.14 versus $1.23-$1.41 at highlight -- good enough for yet another solid "win." Please refer to the table at the beginning of this note for the option contract information related to these previously-highlighted ideas (their date of highlight, strike price, etc.).

Third, we are releasing our first two options ideas for the month of March 2021.

The first options idea is long put options on the SPDR S&P 500 ETF Trust (SPY) with a $380 strike price that expire July 16, 2021. As of this writing, the S&P 500 index is trading north of the top end of our fair value estimate range (3,530 – 3,920). Our fair value estimate range for the S&P 500 was derived from pre-pandemic consensus 2021 EPS estimates for the S&P 500 (~$197) and a reasonable forward P/E ratio (given the low interest rate environment, a ratio of 18-20 is reasonable, in our view). With key catalysts now in the rear-view mirror, such as the American Rescue Plan Act getting signed into law, we expect investors to engage in some profit taking in the near term.

Public health authorities are steadily working on containing the coronavirus (‘COVID-19’) pandemic, aided by vaccine distribution efforts, and major fiscal stimulus packages (particularly in developed economies) are helping keep the global economy afloat until the public health crisis is brought to an end. The eventual end of the pandemic and the related quarantine and social distancing measures, and the eventual resumption of pre-pandemic activities in earnest (such as air travel, live events, indoor dining at restaurants) should provide the global economy with a nice tailwind. We have taken these factors into account in our fair value estimate range for the S&P 500 index. Over the coming weeks and months, we expect the S&P 500 to pull back within our fair value estimate range as investors lock in some of their profits.

Our second options idea is long call options on Albemarle Corporation (ALB) with a $170 strike price that expire June 18, 2021. Albemarle is a specialty chemicals company with a large lithium and lithium derivates business that the company is aggressively expanding. The WSJ cited data from Benchmark Mineral Intelligence that noted lithium prices had surged by over 60% this year through early-March in part due to growing excitement over electric vehicle (‘EV’) sales. Lithium is a key component in the batteries (lithium-ion batteries) used to power most EVs.

A combination of surging prices, skyrocketing demand, and asset base expansion supports the cash flow growth outlook at Albemarle’s lithium-oriented business operating segment and the company at-large. Albemarle’s two other core business operating segments are focused on catalysts for the refining industry and fire safety products, two areas that should benefit from the world economy emerging from the COVID-19 pandemic. We see room for shares of ALB to move significantly higher in the near term as excitement over its lithium expansion plans begins to build.

We look forward to releasing two more options ideas for March 2021 in the coming days!

Please always note the dates of the articles in the options commentary stream that follows this article. We hope you find this format helpful. Performance is hypothetical and no trading is taking place.

Kind regards,

The Valuentum Team
www.valuentum.com

Please note that with options trading, investors can lose their entire premium. Don't ever trade with money that you can't afford to lose. Valuentum is an investment research publisher and accepts no liability for how readers may choose to utilize the content. By continuing with your additional options commentary membership, you accept our Terms and Conditions. If you do not agree with the Terms and Conditions, you must stop using this service and cancel your additional options commentary membership.
OPTIONS: Tesla (close), Energy Select Sector SPDR (close)
Image Shown: Shares of Tesla (declining price) have been pummeled while shares of an ETF tied to the energy sector (advancing orange line) have soared in recent months. We continue to generate excellent options idea considerations, having highlighted puts on Tesla (TSLA) and calls on the Energy Select Sector SPDR (XLE) in recent months.
March 8, 2021

Dear members:

We are closing two previous options ideas today.

1) We are closing the second options idea for January 2021 -- long put options on Tesla (TSLA) with a $500 strike price that expire March 19, 2021. Based on our records, the estimated bid-ask spread at the time of highlight was $7.40-$7.75. Today, these contracts are estimated to be trading at $14.80-$14.95 as of last check -- roughly a double, which is really nice.

2) We are closing the second options idea for February-- long call options on the Energy Select Sector SPDR Fund (XLE) with a $50 strike price that expire June 18, 2021. Based on our records, the estimated bid-ask spread at the time of highlight was $2.34-$2.40 (as of Friday close; the note was released Saturday). Today, several weeks later, the contracts at the time of this writing are trading hands at $5.50-$5.65 -- a comfortable double as well, which I guess many may consider doubly nice.

It has been an honor to be able to highlight some solid options ideas winners, and we hope that you continue to enjoy your membership. We'll have more to say later this week as we update the table that goes into our options idea track record, but we're mighty pleased with how things have been going and wanted to get this note out to you as soon as possible today. Thank you for your membership.

Always our very best.

Please always note the dates of the articles in the options commentary stream that follows this article. We hope you find this format helpful. Performance is hypothetical and no trading is taking place.

Kind regards,

The Valuentum Team
www.valuentum.com

Please note that with options trading, investors can lose their entire premium. Don't ever trade with money that you can't afford to lose. Valuentum is an investment research publisher and accepts no liability for how readers may choose to utilize the content. By continuing with your additional options commentary membership, you accept our Terms and Conditions. If you do not agree with the Terms and Conditions, you must stop using this service and cancel your additional options commentary membership.
Image Shown: Shares of Kraft Heinz Co are showing signs of life as the company’s turnaround strategy is starting to pay off.
February 27, 2021

"Fixed-income investors worldwide – whether pension funds, insurance companies or retirees – face a bleak future." -- Warren Buffett's 2020 Annual Report to Berkshire Shareholders

Dear members:

It would only be fitting that we release the third and fourth options ideas for the month of February 2021 on the Saturday that Warren Buffett has issued the Berkshire Hathaway's 2020 Annual Report (pdf). Just like Berkshire shareholders with their annual letter, one has the whole weekend to ponder these ideas. We release the Exclusive publication generally on the first Saturday of each month for this reason, too. We want our members to have enough time to make the best decision possible.

With that said, the latest installment of Warren Buffett's shareholder letter was filled with the usual wisdom, but he also emphasized what a difficult environment fixed-income investors may be facing in the years ahead. There is no better time to learn the in's and out's of stock analysis--as the returns on index funds may not be good enough to meet goals in the coming years. Read our latest take on the market environment here. We're also hosting a multi-part educational webinar in the coming weeks, too, so please do register for that here to keep your equity analysis skills sharp.

Let's move on to the third and fourth options ideas. Our third options idea is call options on Alphabet Inc (GOOG) (GOOGL) Class C shares (ticker GOOG) with a $2,200 strike price that expire May 21, 2021. Shares of GOOG are trading well below our fair value estimate of $2,493 as of this writing. After smashing past consensus top- and bottom-line estimates when it reported its latest earnings report on February 2, which we covered in this article here, shares of GOOG surged higher and would later close above $2,000 for the first time the next day.

Though we've grown cautious on the broader market environment, we see room for shares of Alphabet to continue marching higher in the near term as its cloud computing business is starting to gain some traction while its bread-and-butter digital advertising business remains rock-solid. Alphabet’s recent efforts to keep a lid on its operating expense growth in certain areas is also a very welcome sign.

Our fourth options idea for February 2021 is call options on Kraft Heinz Co (KHC) with a $40 strike price that expire July 16, 2021. When Kraft Heinz reported its fourth quarter earnings for fiscal 2020 (period ended December 26, 2020) on February 11, the company beat both consensus top- and bottom-line estimates. Looking ahead, management provided promising guidance for organic sales and constant currency adjusted EBITDA performance (non-GAAP financial metrics) for the first quarter of fiscal 2021.

Kraft Heinz is in the middle of a major turnaround, and more recently that strategic pivot appears to be playing out favorably. Divesting non-core businesses, investing more in its brands with promising growth trajectories, generating operational efficiencies across the board with an eye towards cost structure improvements, and eventually returning to consistent organic sales growth is how Kraft Heinz aims to generate shareholder value over the long haul. In fiscal 2020, roughly fourth-fifths of the company’s organic sales came from the US and Canada, two countries with promising economic growth trajectories (supported by fiscal and monetary stimulus measures, along with ongoing COVID-19 vaccine distribution efforts).

Michael Burry (made famous from the book The Big Short), head of Scion Capital, recently invested in Kraft Heinz’s equity, joining Warren Buffett as Berkshire Hathaway Inc (BRK.A) (BRK.B) is a longtime Kraft Heinz shareholder. On February 16, Kraft Heinz provided another promising update on its turnaround during the Consumer Analyst Group of New York (‘CAGNY’) Conference which was apparently well-received by investors given the upward movement in shares of KHC during the following trading days. We see room for shares of KHC to continue moving higher in the near-term, especially as another massive fiscal stimulus package in the US is currently working its way through Congress.

We're available for any questions, and please don't forget to register for the educational webinar here if interested. Thank you.

Please always note the dates of the articles in the options commentary stream that follows this article. We hope you find this format helpful. Performance is hypothetical and no trading is taking place.

Kind regards,

The Valuentum Team
www.valuentum.com

Please note that with options trading, investors can lose their entire premium. Don't ever trade with money that you can't afford to lose. Valuentum is an investment research publisher and accepts no liability for how readers may choose to utilize the content. By continuing with your additional options commentary membership, you accept our Terms and Conditions. If you do not agree with the Terms and Conditions, you must stop using this service and cancel your additional options commentary membership.
OPTIONS: Freeport-McMoRan (new), Energy Select Sector SPDR (new)
Image Shown: The Energy Select Sector SPDR Fund has been on an upward swing during the past couple of weeks as raw energy resources pricing (i.e., oil, natural gas, natural gas liquids pricing) continues to recover. We see room for additional upside.
February 19, 2021

Please always note the dates of the articles in the options commentary stream that follows this article. We hope you find this format helpful. Performance is hypothetical and no trading is taking place.

Dear members:

Today, we are highlighting our first and second option ideas for the month of February 2021. Our first idea is long call options on Freeport-McMoRan Inc (FCX) with a $40 strike price that expire May 21, 2021. We highlighted Freeport-McMoRan as an options idea in the past (an idea that played out favorably), and we are highlighting the name again today given the incredibly promising outlook for copper prices. Please note Freeport-McMoRan produced ~3.2 billion recoverable pounds of copper in 2020, and that last year, its GAAP operating income more than doubled year-over-year (aided by the tailwind of higher copper prices).

Copper prices on the London Metal Exchange (‘LME’) continue to surge upwards and recently reached their highest level since 2012. Global copper demand remains robust according to research service Metal Miner. Construction and industrial activity rebounded strongly from the depths of the coronavirus (‘COVID-19’) pandemic while demand for consumer electronics surged as many households started working from home.

Furthermore, the COVID-19 pandemic has negatively impacted copper supplies in key producing regions such as Peru, according to S&P Global Platts which is a division of S&P Global Inc (SPGI). Additionally, logistical delays in Chile due to rough seas closing some of its northern ports has significantly limited supply from the two largest copper exporters in the world. Chile is the largest copper exporter by volume followed by Peru. Numerous analysts (cited by a division of Platts in a January 2021 article) forecast that copper prices will advance further this year. We like call options on Freeport-McMoRan to gain exposure to this upside potential.

Our second options idea for February is long call options on the Energy Select Sector SPDR Fund (XLE) with a $50 strike price that expire June 18, 2021. As of this writing, near-term Brent oil futures (international pricing benchmark) are trading ~$60 per barrel, a sharp recovery from the depths of the COVID-19 pandemic. Near-term futures for WTI, America’s key oil pricing benchmark, are now trading ~$60 per barrel, too, as of this writing. The three largest holdings in the XLE ETF are Exxon Mobil Corporation (XOM), Chevron Corporation (CVX), and ConocoPhillips (COP) which combined represented a little over half of the XLE ETF’s total holdings as of February 12.

In our view, the oil & gas industry is recovering now that COVID-19 vaccine distribution activities are well underway worldwide. These activities support the outlook for refined petroleum product demand and ultimately crude oil demand, as households will be able to resume pre-pandemic travel activities once public health authorities bring the COVID-19 pandemic fully under control. Ongoing efforts by the OPEC+ oil cartel to limit global crude oil supplies and a recent winter storm that hit North America (including Texas) quite hard, reportedly resulting in substantial oil supply losses in the US, indicates the supply side of the oil & gas industry is conducive to higher raw energy resources pricing.

Rising raw energy resources pricing combined with a potential recovery in refined petroleum product demand supports the outlook for the various energy companies included in the XLE ETF. Please note that integrated energy majors, such as Exxon Mobil and Chevron, generate an outsized amount of cash flows from their upstream operations, so significant improvements on this front can provide a powerful tailwind to their company-wide performance. ConocoPhillips is considered an upstream “super-independent” after spinning off its downstream (refineries, petrochemical plants) and a good chunk of its midstream (pipelines, storage facilities) operations in 2012.

The XLE ETF has exposure to several upstream independents including EOG Resources Inc (EOG) and Pioneer Natural Resources Company (PXD), which combined represented just under 8% of the ETF’s total holdings as of February 12. Additionally, the XLE ETF has decent exposure to midstream and downstream operators that should see their financial performance recover alongside refined petroleum product demand. Since the start of February 2021, many publicly traded firms in the oil & gas industry have been on an upward swing with the XLE ETF up almost 17% month-to-date as of this writing. We see room for additional upside and like the XLE ETF as a way to gain broad exposure to the recovering oil & gas industry.

On a final note, Berkshire Hathaway Inc (BRK.A) (BRK.B) took a significant stake in Chevron’s equity near the end of last year according to a recent regulatory filing. Please note this is a new position for the conglomerate, run by Warren Buffett, but the decision to invest in Chevron could have been made by one of the company’s investment managers or Mr. Buffett himself. In our view, the news that Berkshire Hathaway is making a ~$4 billion bet on Chevron helps validate the notion that the oil & gas industry is bouncing back.

Please always note the dates of the articles in the options commentary stream that follows this article.

We're available for any questions.

Always our very best,

The Valuentum Team
www.valuentum.com

Please note that with options trading, investors can lose their entire premium. Don't ever trade with money that you can't afford to lose. Valuentum is an investment research publisher and accepts no liability for how readers may choose to utilize the content. By continuing with your additional options commentary membership, you accept our Terms and Conditions. If you do not agree with the Terms and Conditions, you must stop using this service and cancel your additional options commentary membership.
OPTIONS: CRISPR Therapeutics (new), Virgin Galactic (new)
Image Shown: Shares of CRISPR Therapeutics (CRSP), which focuses on gene therapies, have surged higher during the past few months. The stock has come in since its recent peak, however, and we think long call options may be worth a look for the ultra- risk-seeking investor. Remember, options trading can result in the loss of the entire options premium (the price of the options contract).

January 27, 2021

Please always note the dates of the articles in the options commentary stream that follows this article. We hope you find this format helpful. Performance is hypothetical and no trading is taking place.

Dear members:

Though we think the broader equity markets are largely fairly valued at the moment, we are witnessing some highly unusual trading activity in heavily-shorted names. We wrote about this phenomenon in our recent note, "ALERT: Bull Raids, Short Squeezes and Highly Unusual Market Activity." Price-agnostic trading, as defined by trading that does not focus on intrinsic value estimates (e.g. indexing, quant, WallStreetBets, Robinhood, etc), is whipsawing the shares of many companies, and they aren't all small ones either. GameStop (GME), for example, is a $22 billion market-capitalization company and is trading ~130% higher today on no fundamental news.

We're not saying that investors should dabble in options in these ultra-volatile names, but we wanted to provide a list of tickers for your convenience, to look into these ideas further if you're interested in doing so. Note again that options trading is risky, that investors can expose themselves to infinite losses, and the price of volatility for some of their contracts may be very expensive at the moment. Here is the list of companies that we have witnessed unusual trading activity in: GME, FIZZ, DDS, MAC, BBBY, LGND, AMCX, SRG, GOGO, SPWR, AXDX, Other: SPCE, FUBO, KOSS, BB, VLDR, CLVS, OXBR, VIR, PRTS, WKHS, BZUN, BLNK, OSTK, NKLA, YQ, UUU, BYND, PROG, TR, NOK.

With that said, today we are highlighting our third and fourth options ideas for the month of January 2021 with an eye towards two high-flying industry disruptors with promising outlooks. Our first idea is call options on CRISPR Therapeutics (CRSP) with a $220 strike price that expire April 16, 2021. We caution that these options are thinly traded, meaning there may be liquidity concerns. CRISPR focuses on gene therapies using its CRISPR/Cas9 gene editing technology. Gene therapies could potentially treat diseases and other health conditions that current treatments are unable or ineffective at treating/managing.

Medical breakthroughs could lead to CRISPR discovering and developing therapeutic offerings that save lives (which otherwise could not have been saved without gene-editing technology), offering enormous untapped market potential. The company notes that “CRISPR/Cas9 edits genes by precisely cutting DNA and then letting natural DNA repair processes to take over. The system consists of two parts: the Cas9 enzyme and a guide RNA.”

CRISPR established a strategic partnership with Vertex Pharmaceuticals (VRTX) back in October 2015. The duo is currently running clinical trials on CTX001, an “investigational CRISPR/Cas9-based gene-editing therapy” that seeks to treat transfusion-dependent beta thalassemia (‘TDT’) and sickle cell disease (‘SCD’), and initial clinical trial data has been promising.

With earnings season now underway, there is a good chance CRISPR will have positive operational updates to share in the coming weeks. In our view, there is room for shares of CRISPR to continue shifting higher, even after its stellar run during the past few months. CRISPR is at the forefront of pharmaceutical innovation, and investors have clearly shown a preference for companies with enormous growth prospects. We are extremely excited about the potential medical breakthroughs CRISPR, and its partners, may unlock going forward.

Our fourth options idea for the month of January 2021 is a very long-term call option (at least when it comes to options) on Virgin Galactic (SPCE) with a $55 strike price that expires January 20, 2023. Virgin Galactic aims to launch a suborbital space tourist business that will also cater to space research efforts as well. We are quite intrigued by the potential for space tourism, keeping in mind these tickets are priced in the hundreds of thousands of dollars range. On February 25, Virgin Galactic will provide investors with an update on its efforts when it reports fourth quarter and full-year earnings for 2020 after the market close.

Virgin Galactic’s first SpaceShipTwo-class vehicle is dubbed the VSS Unity, and that vessel completed its first supersonic, rocket-powered flight back in April 2018. Testing activity on that vessel continues. Sometime in the first quarter of 2021, Virgin Galactic plans to roll out its second SpaceShipTwo vessel which is part of the company’s long-term strategy to be able to offer almost daily trips to suborbital space (and possibly beyond) down the road.

With ~$0.75 billion in cash and cash equivalents on hand and no debt on the books at the end of September 2020, Virgin Galactic has ample funds to cover its cash flow outspend while it continues to build its operations. After Sir Richard Branson, the founder of Virgin Galactic, flies his first flight up to suborbital space sometime in 2021, Virgin Galactic plans to resume ticket sales. This should generate increased excitement around the name given the potential media coverage of such an event and the potential for a nice boost in ticket reservations. In our view, shares of Virgin Galactic have room to run higher, supported by expectations the firm will have plenty of positive operational updates to share over the coming months.

For members that are new to options, please enjoy the following video analogy from RobinhoodKid on TikTok on how to think about call options! View the video here.
Please always note the dates of the articles in the options commentary stream that follows this article.

Always our very best,

The Valuentum Team
www.valuentum.com

Please note that with options trading, investors can lose their entire premium. Don't ever trade with money that you can't afford to lose. Valuentum is an investment research publisher and accepts no liability for how readers may choose to utilize the content. By continuing with your additional options commentary membership, you accept our Terms and Conditions. If you do not agree with the Terms and Conditions, you must stop using this service and cancel your additional options commentary membership.
OPTIONS: General Motors (new), Tesla (new)
Image Shown: Shares of General Motors have broken out, and we're highlighting the company as an options idea in the context of a "pair trade" consideration in this email.

January 19, 2021

Please always note the dates of the articles in the options commentary stream that follows this article. We hope you find this format helpful. Performance is hypothetical and no trading is taking place.

Dear members:

Today, we are highlighting our first two options ideas for the month of January 2021, in what can probably be best described as a "pair trade" consideration. As always, please be sure to ask your personal financial advisor if options trading may be right for you. In our additional options commentary feature, we produce ideas for consideration, not recommendations, and only you and your personal financial advisor would know what's best given your own personal circumstances.

With that said, the first part of this "pair trade" consideration is long call options on General Motors (GM) with a $60 strike price that expire March 19, 2021. Shares of GM have been on an upward tear of late (see image above), and we see room for GM to climb even higher. The company’s cost-cutting program has gone a long way in improving its cost structure during times of economic stress. General Motors posted $4.4 billion in EBIT from its ‘North America’ business operating segment during the third quarter of 2020, up significantly year-over-year (even when excluding the hit General Motors took from a prolonged strike in 2019).

Investors are warming up to General Motors’ pivoting towards electric vehicles (‘EVs’), too, as the firm is getting ready to launch its new all-electric HUMMER pickup with sales of the offering expected to begin as early as the fall of this year. General Motors is currently taking reserves for the new EV pickup, and here we would like to highlight that General Motors sold more pickup trucks in the US last year than its domestic rivals. The company’s improving outlook supports its strong technical performance of late.

Additionally, the General Motors-led Cruise business that focuses on autonomous vehicle technology recently secured a strategic partnership with Microsoft (MSFT) that involved a new equity investment round worth north of $2.0 billion (though it appears that this equity raise involves multiple parties including General Motors, Honda [HMC], and “institutional investors” along with Microsoft). Cruise may now be estimated to be worth $30.0 billion, and backing from Microsoft helps validate Cruise’s promising future.

Our second options idea for January 2021--and the other half of this "pair trade" consideration--is long put options on Tesla (TSLA) with a $500 strike price that expire March 19, 2021. To be clear, we view Tesla’s long-term outlook quite favorably, though shares of TSLA have gotten a little bit ahead of themselves, in our view, we expect some profit-taking to pressure its stock price in the near term. In late-2020, Tesla was added to the S&P 500 (SPY) index, and investors aggressively bid up the name before and after the inclusion.

As excitement from that event fades while the market begins to evaluate Tesla’s growing competitive pressures, shares of TSLA may temporarily shift lower in the near term after such an epic run. [Interested members seeking to read more about the EV industry should check out our recent commentary on the issue here.] If shares of TSLA do not slow their breakneck advance, however, we'll look to "sympathy-strength" from the other part of the "pair trade" consideration--the long call options on General Motors--to mitigate weakness in contract value that a continued strong TSLA share price might imply.

We're looking forward to seeing how this "pair trade" idea consideration pans out in the coming weeks. Please let us know if you have any questions. 

Please always note the dates of the articles in the options commentary stream that follows this article.

Always our very best,

The Valuentum Team
www.valuentum.com

Please note that with options trading, investors can lose their entire premium. Don't ever trade with money that you can't afford to lose. Valuentum is an investment research publisher and accepts no liability for how readers may choose to utilize the content. By continuing with your additional options commentary membership, you accept our Terms and Conditions. If you do not agree with the Terms and Conditions, you must stop using this service and cancel your additional options commentary membership.
OPTIONS: Closing Penn National (PENN) and ARK Innovation ETF (ARKK)
January 15, 2021

Please always note the dates of the articles in the options commentary stream that follows this article. We hope you find this format helpful. Performance is hypothetical and no trading is taking place.

Dear members:

Thank you for your continued interest in our additional options commentary.

Today, we're closing a couple of our prior options ideas as we look forward to highlighting four new options ideas for the month of January. On December 18, we released the second options idea for the month of December 2020 -- call options on Penn National Gaming (PENN) with a $100 strike price that expire February 19, 2021. At the time of highlight, per YahooFinance (YF), the bid/ask spread was $8.55/$8.85. Today, the bid/ask spread for these options contracts is $10.55/$10.75 -- good for a hypothetical "gain" of ~19%. Not bad.

On December 29, we released our third options idea for the month of December 2020 -- call options on ARK Innovation ETF (ARKK) with a $145 strike price that expire March 19, 2021. On the date of highlight, shares of the ARK Innovation ETF had a trading range of $120.81-$128.69, according to data from YF. Shares are now trading at $143+ at the time of this writing, just about at the strike price. We're now closing this idea. If you have data for the hypothetical "performance" of this options idea since release (and would like to share), please let us know so we can add the hypothetical outcome to the table. Thank you for your assistance.

As noted previously, thus far, we have been keeping things simple as members of all experience levels become familiar with our additional options commentary feature. All of our options ideas since inception, for example, have been either long call or long put ideas, meaning that the risk of loss with these contracts is generally limited to the premium paid (the price of the contracts).

It's worth emphasizing this very important distinction because if an option investor were to sell/write an uncovered "naked" put option or uncovered "naked" call option, that investor could potentially become exposed to theoretically unlimited losses (with respect to selling/writing "naked" calls, in particular). [Note, we have not highlighted ideas with these characteristics, and we reiterate that options trading can be very risky.] All performance is your own, and please do your own due diligence.

For new members, please be sure to read the OCC's Characteristics and Risks of Standardized Options here. In the coming months, we plan to highlight more advanced ideas, but for now, we continue to keep things simple, as simple has been working great. The number of option idea winners continues to add up! In the coming days, we plan to release our first two option ideas for January, which will be somewhat of a "pair trade" consideration. We hope you continue to find our work insightful and your membership to our service rewarding.

Our latest video on investing, more generally, can be accessed here. We're available for any questions.

Always our very best,

The Valuentum Team
www.valuentum.com

Please note that with options trading, investors can lose their entire premium. Don't ever trade with money that you can't afford to lose. Valuentum is an investment research publisher and accepts no liability for how readers may choose to utilize the content. By continuing with your additional options commentary membership, you accept our Terms and Conditions. If you do not agree with the Terms and Conditions, you must stop using this service and cancel your additional options commentary membership.
OPTIONS: Closing Freeport-McMoRan Inc (FCX) and Other Updates
January 6, 2021

Please always note the dates of the articles in the options commentary stream that follows this article. We hope you find this format helpful. Performance is hypothetical and no trading is taking place.

Dear members:

On December 18, 2020, we released our first options idea for the month of December 2020, call options on Freeport-McMoRan Inc (FCX) with a $26 strike price that expire February 19, 2021. We are now closing this idea today, as shown in the image above.

According to data from YahooFinance, at the time of highlight, the relevant FCX call option contracts had a bid/ask spread of $1.57/$1.61. These contracts now have a bid/ask spread of $5.05/$5.20 -- good for a hypothetical gain of ~210%, or what is often called a "three-bagger." Please be sure to read about the limits of hypothetical performance in the article stream that follows.

We are also closing two ideas that didn't quite work out prior to expiration to salvage any residual contract value. These options ideas are put options on Beyond Meat Inc (BYND) with a $120 strike price that expire January 15, 2021 (highlighted November 12), and put options on SolarEdge Technologies Inc (SEDG) with a $210 strike price that expire January 15, 2021 (highlighted November 10).

At the moment, there are currently three options ideas open:

1) Call options on ARK Innovation ETF (ARKK) with a $145 strike price that expire March 19, 2021 (highlighted December 29).
2) Put options on Boeing Co (BA) with a $175 strike price that expire March 19, 2021 (highlighted December 29).
3) Call options on Penn National Gaming Inc (PENN) with an $100 strike price that expire February 19, 2021 (highlighted December 18).

We continue to be very pleased with the performance of the highlighted options ideas, punctuated by great idea generation as illustrated most recently by FCX and prudent decision-making, salvaging residual contract value, where applicable on ideas that didn't quite work out.

Readers should be aware that, in general, the nature of most options contracts is that a large percentage of them expire worthless, meaning the "win rates" for the options ideas thus far have been fantastic. Many ideas have also generated sizable hypothetical "gains" across both call option and put option considerations.

The table below showcases the track record of our options idea generation thus far.
We look forward to highlighting four new options ideas for the month of January, and we hope you continue to enjoy our additional options commentary. Happy New Year!

Kind regards,

The Valuentum Team
info@valuentum.com

Please note that with options trading, investors can lose their entire premium. Don't ever trade with money that you can't afford to lose. Valuentum is an investment research publisher and accepts no liability for how readers may choose to utilize the content. By continuing with your additional options commentary membership, you accept our Terms and Conditions. If you do not agree with the Terms and Conditions, you must stop using this service and cancel your additional options commentary membership.
OPTIONS: ARK Innovation ETF (new), Boeing (new)
December 29, 2020

Please always note the dates of the articles in the options commentary stream that follows this article. We hope you find this format helpful. Performance is hypothetical and no trading is taking place.

Summary

  • Happy Holidays to you and yours. We hope you are enjoying this wonderful time of year!
  • Our third options idea for the month of December 2020 is call options on ARK Innovation ETF (ARKK) with a $145 strike price that expire March 19, 2021.
  • Our fourth options idea for the month of December 2020 is put options on Boeing Co (BA) with a $175 strike price that expire March 19, 2021. 
  • The link to our immediately previous additional options commentary, which was released December 18, can be found here. The article is also found below this one in the options commentary stream.

ARK Innovation ETF (ARKK) -- call options considerations

Our third options idea for the month of December 2020 is call options on ARK Innovation ETF (ARKK) with a $145 strike price that expire March 19, 2021. The ETF is heavily weighted towards companies capitalizing on secular growth trends, from cloud computing (~10.1% of the ETF's assets) and e-commerce (~9.8% of the ETF's assets) to gene therapy (~7.5% of the ETF's assets) and energy storage (~3.6% of the ETF's assets).

In our view, industries supported by secular growth tailwinds will continue to perform well going forward, and the ARRK ETF provides broad-based diversified exposure to that upside potential. Shares of ARKK are supported by favorable technical performance of late, too. 

ARKK ETF Top 10 Holdings (weight)

Tesla (11.0%)
Invitae Corp (8.8%)
Square Inc. (6.4%)
Roku Inc. (5.3%)
Crispr Therapeutics AG (4.9%)
Proto Labs (3.5%)
Zillow Group Inc. (3.4%)
2U Inc. (3.1%)
LendingTree Inc. (2.9%)
Teladoc Health (2.9%)

List: A look at the ARKK ETF’s top ten holdings as of September 30, 2020. Image Source: ARK Innovation ETF -- Fact Sheet

Some of the top holdings in the ARKK ETF include electric vehicle (‘EV’) maker Tesla (TSLA), genetic information company Invitae (NVTA), and fintech firm Square (SQ). The future global adoption rate of EVs will be heavily influenced by government actions and the ability for the industry to drive down costs via scale and efficiency gains to provide more affordable offerings to middle-income consumers worldwide.

Though EVs are a relatively modest portion of the global auto market currently in terms of unit sales, they are likely to continue growing on both a nominal basis and as a percentage of total global auto sales, creating a large total addressable market (‘TAM’) for companies like Tesla to cater to (which supports the future free cash flow growth outlook and ultimately intrinsic value estimates for these firms).

Gene therapies and utilizing genetic information to improve the efficacy of healthcare services represents another big growth opportunity for firms with an innovative bent. A genetic test can help determine what level of risk a patient has regarding potentially developing a certain disease, significantly improving the ability to treat/manage that situation early on. Gene-based therapeutics are still in their nascent stages, though if successful, these medicines could offer a whole new way to treat a wide variety of diseases and other medical conditions. Companies like Invitae and Crispr Therapeutics (CRSP), another holding in the ARKK ETF, are leading the way in this space.

Fintech companies were quite popular with investors in 2020, and please note these names have benefited from greater e-commerce sales as the global economy continues to pivot towards a “cashless” society. Third-party market research service e-Marketer forecasts that US e-commerce sales growth will come in north of 30% year-over-year in 2020. Data cited by Statista indicates that global e-commerce sales growth is forecasted to hold up incredibly well going forward. Square and another ARKK ETF holding, PayPal (PYPL), are two leaders in the fintech space.

Looking ahead, the ARKK ETF appears well-positioned to keep moving higher as the various holdings within the ETF are leaders in industries with tremendous growth outlooks (with the potential for upward revisions to their forward-looking estimates). Though the ETF's share price has run quite a bit of late, we think call options on the ARKK ETF provide leveraged exposure to significantly favorable long-term secular trends that may see ongoing capital flows as we head into the new year and beyond.

We're bullish. 


Boeing (BA) -- put option considerations

Our fourth options idea for the month of December 2020 is put options on Boeing Co (BA) with a $175 strike price that expire March 19, 2021. As we have noted in the past (link here), Boeing’s financials are absolutely frightening. Though the situation with the 737 MAX may be improving, there are still indications that not all may be well with its workhorse short-haul plane, as recently as December 22 (see here).

Boeing’s near- and medium-term financials and outlook remain very stressed, too, a huge risk in the continued uncertain environment with respect to the COVID-19 pandemic's impact on air travel demand. Here is what we had to say about the aerospace giant's financials in our November 18 note (in italics below):

The reality is that Boeing’s financials are still pretty scary. During the first nine months of 2020, the company burned through an incredible $15.4 billion in free cash flow, even as it cut capital spending by a few hundred million. As of the end of the third quarter of 2020, its total consolidated debt now stands at $61 billion, with total cash and marketable securities of $27.1 billion. This compares to total consolidated debt of $24.7 billion and total cash and marketable securities of $10.9 billion, as of the end of the third quarter of 2019.

Looking ahead, Boeing will likely continue to burn through cash in the near term (i.e. generate negative free cash flow), which will further deteriorate its balance sheet. Boeing is aggressively cutting costs, though in our view, those expense reductions will not be enough to offset higher unit costs (from the plane maker cutting back its production activities) and headwinds stemming from the immense financial stress facing its customer base.

Shares of BA are starting to see their technicals turn against the stock, too, as excitement over the ongoing distribution of COVID-19 vaccines worldwide contend against the realities of Boeing’s dire financial position and lackluster near-term outlook. We think the company's credit quality is "junk" (non investment-grade) at the moment, despite investment-grade ratings at the agencies--and lingering problems with the 737 MAX remain unsettling.

In light of its prior operational missteps that have resulted in the tragic loss of human life, the damage such incidents have done to its brand reputation, its very unhealthy balance sheet, and ongoing free cash flow burn, we view selling pressure on Boeing's shares as likely to build over the coming weeks and months. We don't think Boeing is out of the woods yet by a long shot.

Please let us know if you have any questions. We hope you continue to enjoy the additional options commentary. Happy Holidays!

Kind regards,

The Valuentum Team
info@valuentum.com

Please note that with options trading, investors can lose their entire premium. Don't ever trade with money that you can't afford to lose. Valuentum is an investment research publisher and accepts no liability for how readers may choose to utilize the content. By continuing with your additional options commentary membership, you accept our Terms and Conditions. If you do not agree with the Terms and Conditions, you must stop using this service and cancel your additional options commentary membership.
OPTIONS: Freeport-McMoRan (new), Penn National Gaming (new)
December 18, 2020

Please always note the dates of the articles in the options commentary stream that follows this article. We hope you find this format helpful. Performance is hypothetical and no trading is taking place.

Summary

  • Our first options idea for the month of December 2020 is call options on Freeport-McMoRan Inc (FCX) with a $26 strike price that expire February 19, 2021.
  • Our second options idea for the month of December 2020 is call options on Penn National Gaming Inc (PENN) with an $100 strike price that expire February 19, 2021.

Freeport-McMoRan (FCX)

Our first options idea for the month of December 2020 is call options on Freeport-McMoRan Inc (FCX) with a $26 strike price that expire February 19, 2021. Shares of the copper and gold miner have surged upward since late March 2020 due to a recovery in copper prices and sustained strength in gold prices. The high end of our fair value estimate range for Freeport-McMoRan sits at $30 per share, indicating there is room for shares of FCX to run higher still, in our opinion. Let's dig into the details on this idea. 

Freeport-McMoRan recently completed its Lone Star copper leach project in Arizona, and the firm is currently ramping up output at the development according to commentary provided within its third quarter of 2020 earnings press release. Additionally, Freeport-McMoRan is steadily increasing production at its massive Grasberg mining venture in Indonesia (which it owns a sizable economic stake in alongside the Indonesian government). Mining operations at the Grasberg minerals district have transitioned from surface to underground activities during the past few years (the venture completed final open pit mining activities in the fourth quarter of 2019). The Grasberg mining rights are owned by PT-FI which is ~49% owned by Freeport-McMoRan. However, through 2022, Freeport-McMoRan has an approximately 81% economic stake in PT-FI due to past agreements made before the Indonesia government acquired a sizable stake in the venture from Rio Tinto plc (RIO) back in 2018.

As underground production continues to ramp up at the Grasberg minerals district, this should provide a tailwind for Freeport-McMoRan’s copper and gold production while putting downward pressure on its unit costs going forward given the sheer size of the Grasberg mining venture, which primarily produces copper and gold. Freeport-McMoRan’s management team appears quite optimistic that this tailwind will have a powerful impact on the company’s financial performance in 2021+. Here is what the firm had to say in its latest earnings press release regarding its company-wide financial outlook: "With anticipated increases in copper and gold sales volumes and decreases in unit net cash costs, operating cash flows in 2021 are expected to be significantly higher than 2020 levels."

In March 2020, Freeport-McMoRan suspended its dividend to conserve cash in the face of the coronavirus (‘COVID-19’) pandemic. From the end of 2019 to the end of September 2020, the company’s net debt load (inclusive of short-term debt) dropped by $0.2 billion as management prioritized improving Freeport-McMoRan’s balance sheet (net debt, inclusive of short-term debt, stood at $7.6 billion at the end of September 2020). Looking ahead, Freeport-McMoRan intends to recommend to its Board of Directions that the firm should reinitiate its dividend in 2021, according to commentary included in its latest earnings press release. That is largely due to management’s improving confidence in Freeport-McMoRan’s financial trajectory, in our view.

Freeport-McMoRan’s GAAP operating income flipped from a ~$0.1 billion operating loss in the third quarter of 2019 to a ~$0.9 billion operating profit in the third quarter of 2020 as raw materials pricing improvements provided a powerful tailwind to its financial performance. Copper and other metals (such as iron ore) pricing has surged higher this year on the back of an industrial rebound. Expectations for rising electric vehicle (‘EVs’) sales, major investments in utility-scale renewable energy projects (from new power generation facilities to upgraded and expanded electricity transmission and distribution systems), and concerns over supply disruptions due to labor unrest in major copper producing regions have all played a role in bolstering copper prices of late.

Gold prices have moderated somewhat in recent months, though they remain well above levels seen in 2019 due to record monetary and fiscal stimulus measures enacted in major developed economies worldwide. As Freeport-McMoRan’s outlook is getting brighter and brighter, we see room for shares of FCX to continue marching higher over the coming weeks and months. Call options on FCX pass muster for one of our December options ideas.

Penn National Gaming (PENN)

Our second options idea for the month of December 2020 is call options on Penn National Gaming Inc (PENN) with an $100 strike price that expire February 19, 2021. The company owned, operated or had an economic interest in over 40 casinos and racetracks in the US at the end of 2019, along with a sizable online gambling operation. In February 2020, Penn National Gaming completed its acquisition of a 36% stake in Barstool Sports, a popular sports-oriented website, to bulk up its online sports gambling business. That included acquiring the exclusive rights to use the Barstool brand for Penn National Gaming’s online and retail sport betting offerings and iCasino products.

Though Penn National has a sizable traditional gaming presence (physical casinos and racetracks), it is the firm’s online ambitions that have caught the attention of investors, in our view. As Penn National Gaming continues to push into new markets, its growth runway will continue to get longer and longer. When the firm launched the Barstool Sportsbook mobile app in Pennsylvania this past September, after receiving regulatory approval from the Pennsylvania Gaming Control Board, the app was an instant success according to Penn National Gaming.

Sports betting, specifically online sports betting, is a secular growth market in the US with room for enormous upside after a Supreme Court ruling in 2018 opened the door for states to legalize sports betting should they want to do so. As the high end of our fair value estimate range for Penn National Gaming sits at ~$95 per share, well above where PENN is trading at as of this writing, we see room for additional capital appreciation upside. Penn National Gaming announced in December that it is expanding into Maryland to take advantage of the state recently legalizing sports betting, and moves like these will likely continue to be well-received by investors as the firm’s growth runway grows ever longer. Shares of PENN are supported by stellar technical strength seen of late, too

We're available for any questions, and we hope you continue to enjoy the additional options commentary. Happy Holidays to you and yours!


Kind regards,

The Valuentum Team
info@valuentum.com

Please note that with options trading, investors can lose their entire premium. Don't ever trade with money that you can't afford to lose. Valuentum is an investment research publisher and accepts no liability for how readers may choose to utilize the content. By continuing with your additional options commentary membership, you accept our Terms and Conditions. If you do not agree with the Terms and Conditions, you must stop using this service and cancel your additional options commentary membership.
OPTIONS: Closing More Winners (BKNG, DIS)
December 7, 2020

Please always note the dates of the articles in the options commentary stream that follows this article. We hope you find this format helpful. Performance is hypothetical and no trading is taking place.

Dear members to our additional options commentary,

Please note that in late August we provided options-commentary members a new feature to add two more additional options ideas each month (4 per month, in all) to their existing options commentary membership of 2 per month. If you may have missed the offer, but would still like to add the two more options ideas per month (4 per month, in all), please upgrade here. You'll receive a confirmation registration email from us after completing the upgrade.

Prior to today's "closes," we covered the track record of our options idea generation in this email here, and we are again adding to the excellent track record. Today, we are closing the third and fourth ideas for the month of November -- 1) call options on Booking Holdings (BKNG) with a $2,400 strike price that expire January 15, 2021, and 2) call options on Disney (DIS) with a $150 strike price that expire on March 19, 2021.

As shown in the image above, based on data retrieved from YahooFinance, the bid/ask spread for the Booking Holdings' call option contracts at the time of highlight was $8.80/$11.60. The bid/ask spread is now $16.60/$19.70--good enough for a solid ~40% hypothetical "gain." The bid/ask spread for the Disney call option contracts at the time of highlight was $8.35/$8.70. The bid ask/spread is now $12.45/$12.55--good enough for another solid ~40% hypothetical "gain."

Note that these "closes" today follow two other recent (big) "winners" closed on November 30, namely call options on the First Trust Cloud Computing ETF (SKYY) with $85 strike price and expiration date of January 15, 2021, which was roughly a double, and call options on the iShares Russell 200 Value ETF (IWN) with $120 strike price and expiration date of May 21, 2021, which was roughly a three-bagger. As a financial publisher, please be aware that we are quoting hypothetical "performance."

There are many limitations to measuring hypothetical options-related "gains" and "losses," not the least of which are fast-changing bid/ask spread information and an inevitable timing lag from when we write and publish the note to when readers receive and read the email from us. Our attempt with providing members with our options idea track record is to be as transparent as possible in sharing this information with you. As with all features of Valuentum, we believe transparency is a key positive differentiator of our service. Note, our ideas are not personal recommendations, and not every options idea may be right for you.

Thus far, we have been keeping things simple. All of our options ideas thus far have been either long call or long put ideas, meaning that the risk of loss with these contracts is generally limited to the premium paid (the price of the contracts). Conversely, if an option investor were to sell/write an uncovered "naked" put option or uncovered "naked" call option, that investor could potentially become exposed to theoretically unlimited losses (with respect to selling/writing "naked" calls, in particular). Note, we have not highlighted ideas with these characteristics, and we reiterate that options trading can be very risky.

In the coming months, we plan to highlight more complicated ideas, but for now, we're keeping it simple as we 'rev' up the engines with this new options commentary feature. Simple has been working, too, as the number of option idea winners continue to add up. For new members, please be sure to read the OCC's Characteristics and Risks of Standardized Options here. We hope you continue to enjoy your membership to Valuentum's additional options commentary, and please don't forget to add two more options ideas per month to your membership here -- 4 in all (if you haven't already). Thank you for your continued interest. We're available for any questions.


Kind regards,

The Valuentum Team
info@valuentum.com

Please note that with options trading, investors can lose their entire premium. Don't ever trade with money that you can't afford to lose. Valuentum is an investment research publisher and accepts no liability for how readers may choose to utilize the content. By continuing with your additional options commentary membership, you accept our Terms and Conditions. If you do not agree with the Terms and Conditions, you must stop using this service and cancel your additional options commentary membership.
OPTIONS: Recap and New Ideas for November (third and fourth)
November 30, 2020

Please always note the dates of the articles in the options commentary stream that follows this article. We hope you find this format helpful. Thank you!

Summary

  • The win rates for the additional options commentary ideas have been excellent, especially considering that a large percentage of options contracts generally expire worthless.
  • Today, we are closing two of our previous ideas as winners, the third and fourth ideas highlighted for October -- 1) call options on the First Trust Cloud Computing ETF (SKYY) with $85 strike price and expiration date of January 15, 2021, and 2) call options on the iShares Russell 200 Value ETF (IWN) with $120 strike price and expiration date of May 21, 2021. The price of both options contracts have soared since their highlight date on October 26, 2020.
  • We are highlighting the third and fourth ideas for the month of November -- 1) call options on Booking Holdings (BKNG) with a $2,400 strike price that expire January 15, 2021, and 2) call options on Disney (DIS) with a $150 strike price that expire on March 19, 2021.

Dear members,

Trust you are well.

The table above summarizes the track record of our options ideas since inception of the additional options commentary feature of your Valuentum membership. Thus far, the win rates for the additional options commentary ideas have been fantastic, by most measures. The time and volatility element to any options idea makes the idea-selection process much more complicated than simply anticipating a pricing move directionally over a defined period of time, which is difficult to do in and of itself. Nonetheless, many options ideas have been successful--some very much so.

In many cases, prior closed winning ideas, including the two we are closing today, have had sizeable hypothetical estimated "gains," and across both call and put ideas. In a couple other cases, hypothetical estimated "losses" were minimized by closing the options idea prior to expiration, which we showcase as a sign of prudence with respect to our options idea generation. Just a rare few options ideas thus far have expired worthless, which we view very positively given the large percentage of options contracts that traditionally expire worthless. Today, we're adding to this good track record.

On October 26, 2020, we highlighted two options ideas -- 1) call options on the First Trust Cloud Computing ETF (SKYY) with $85 strike price and expiration date of January 15, 2021, and 2) call options on the iShares Russell 200 Value ETF (IWN) with $120 strike price and expiration date of May 21, 2021. We are closing both ideas today.

At the time of highlight for the SKYY contracts on October 26, 2020, the bid/ask spread was $3.20/$3.40. The bid/ask spread for these contracts is now $6.40/$6.70, implying a very nice hypothetical "gain" -- roughly a double. At the time of highlight for the IWN contracts on October 26, 2020, the bid/ask spread was $3.50/$3.90. The bid ask/spread for these contracts is now $11.30/$11.80, also implying a very nice hypothetical "gain" -- roughly a three-bagger. Data according to YahooFinance.

Now on to the third and fourth ideas for the month of November (also pictured in the image above). The third option idea for the month of November 2020 is call options on Booking Holdings Inc (BKNG) with a $2,400 strike price that expire January 15, 2021. Booking Holdings is the world’s leading provider of online travel and related services through portals such as Booking.com, KAYAK, priceline, agoda, Rentalcars.com, and OpenTable. Please note that while we think these options are appealing, they do have a high dollar value, and, as of this writing, cost $8.80/$11.60 based on their current bid/ask spread.

The coronavirus (‘COVID-19’) pandemic has weighed quite negatively on demand for travel, rental cars, restaurants, flights, and accommodations during the past few quarters. In turn, this created material headwinds for Booking Holdings; however, recent news regarding several promising COVID-19 vaccine candidates has significantly improved the company’s near- and long-term outlook.

Pfizer Inc (PFE) and BioNTech SE (BNTX) are working together on a potential COVID-19 vaccine, and initial results from their late stage (Phase 3) clinical trials were promising. On November 20, the duo announced that they had submitted their emergency use application to the US Food and Drug Administration (‘FDA’) to begin distributing the vaccine, and furthermore, that 50 million doses could be supplied by the end of 2020 followed by 1.3 billion doses in 2021 (though please note that each patient will likely receive two doses of the vaccine).

Initial results from Moderna Inc’s (MRNA) late stage clinical trials regarding its potential COVID-19 vaccine have also been promising, and the firm is likely to seek emergency authorization soon (if it has not already). Moderna noted it could supply 20 million doses of its potential COVID-19 vaccine by the end of 2020, depending on when it receives the necessary regulatory approvals. The partnership between AstraZeneca Plc (AZN) and the University of Oxford also reported promising initial late stage clinical trial results regarding their potential COVID-19 vaccine. AstraZeneca and Oxford aim to supply their potential COVID-19 vaccine to regions around the globe at a low cost.

Considering that three potential COVID-19 vaccine candidates are progressing towards regulatory approval, the chance that the pandemic will be brought under control sooner than expected seems to have increased considerably. However, please be aware that regulatory approval is not guaranteed, and broad global distribution of a vaccine or number of vaccines for COVID-19 will pose challenges.

At the end of September 2020, Booking Holdings had $11.2 billion in cash and cash equivalents on hand versus $1.0 billion in current convertible debt and $10.8 billion in long-term debt. Its net debt position is relatively modest, and its liquidity position is impressive. The company generated $0.4 billion in free cash flow during the first nine months of 2020, down significantly versus year-ago levels, though we appreciate that Booking Holdings appears able to generate free cash flow in almost any operating environment.

Looking ahead, shares of BKNG are supported by the company’s incredibly resilient cash flow profile (all things considered) and recent news regarding the potential for COVID-19 vaccine distribution activities to begin by the end of 2020. In our view, there is a good chance Booking Holdings’ recent technical strength will be sustained going forward. Call options look appealing to us.

The fourth options idea for the month of November 2020 is call options on The Walt Disney Company (DIS) with a $150 strike price that expire on March 19, 2021. As with Booking Holdings, Disney should be a major beneficiary of the world resuming “normal” activities with an eye towards its immense theme park and resort operations. Disney has had a lot of success of late growing the subscriber base of its various video streaming services (Disney+, EPSN+, various Hulu packages), though its financial performance has been weighed down by widespread weakness elsewhere. We covered Disney’s latest earnings report and impressive paid subscriber growth in this article here.

If distribution of a safe and viable COVID-19 vaccine begins in late-2020 or early-2021, that would significantly improve the outlook for Disney’s ‘Parks, Experiences and Products’ business operating segment. Furthermore, Disney’s ‘Studio Entertainment’ business operating segment--its movie business-- has also taken a hit due to many households opting to stay away from movie theaters during the pandemic (on top of movie theaters being forced to close in certain regions). Additionally, some theatrical releases were delayed or launched on its Disney+ streaming service instead (for free or for an additional fee, depending on the movie).

Should those business operating segments experience a turnaround while Disney’s video streaming business, included in its ‘Direct-to-Consumer & International’ business operating segment, is firing on all cylinders, Disney’s near-term growth outlook would be underpinned by several powerful catalysts. Disney decided to forgo another semi-annual dividend payment in November, though that has not stopped investors from flocking to the name on views of its potential capital appreciation upside. Looking ahead, there is a good chance Disney’s recent technical strength will be sustained, in our view. We like calls on the name as an idea.

We hope you continue to enjoy your membership to Valuentum's additional options commentary. We're available for any questions.


Kind regards,

The Valuentum Team
info@valuentum.com

Please note that with options trading, investors can lose their entire premium. Don't ever trade with money that you can't afford to lose. Valuentum is an investment research publisher and accepts no liability for how readers may choose to utilize the content. By continuing with your additional options commentary membership, you accept our Terms and Conditions. If you do not agree with the Terms and Conditions, you must stop using this service and cancel your additional options commentary membership.
OPTIONS: Beyond Meat (BYND)
















Image Shown: Shares of Beyond Meat have surged over the past year, though selling pressures have started to build of late.

November 12, 2020

Please always note the dates of the articles in the options commentary stream that follows this article. We hope you find this format helpful. Thank you!

Dear members,

Our second options idea for the month of November 2020 is put options on Beyond Meat Inc (BYND) with a $120 strike price that expire January 15, 2021. Beyond Meat reported third quarter earnings for fiscal 2020 (period ended September 26, 2020) on November 9 that missed both consensus top- and bottom-line estimates by a mile as its ‘foodservice business’ continues to face significant headwinds due to the ongoing coronavirus (‘COVID-19’) pandemic. In the US, Beyond Meat’s foodservice business reported a 11% year-over-year decline in sales and internationally, its foodservice business reported a 65% year-over-year decline in sales last fiscal quarter.

Quick service restaurants (‘QSRs’) represent about one third of Beyond Meat’s foodservice sales according to recent management commentary, and the remaining two thirds is represented by sales to a wide variety of customers including bars, lodging establishments, and independent restaurants, the kind of entities that have really been hit hard by the pandemic. Pressures on this front will likely continue until global health authorities bring the pandemic under control. Renewed lockdowns in Europe and the potential for renewed lockdowns in the US are likely going to continue representing major hurdles for Beyond Meat in the near term. Please note that Beyond Meat recently bulked up its manufacturing capacity in Europe, in part by acquiring its first manufacturing facility in the region.

Strength at the company’s ‘retail’ segment in both the US and internationally helped grow Beyond Meat’s GAAP revenues by a little under 3% last fiscal quarter. However, for a firm whose stock price has roughly doubled over the past year, that is not strong enough fundamental performance to justify such a sharp increase in its equity valuation in such a short period of time, in our view. Though typically only ~25% of the intrinsic value of an equity comes from its forecasted discounted free cash flows expected to be generated in the year 1 – year 5 period, short-term headwinds combined with weak technicals can lead to significant share price declines in the near term. We see selling pressures continuing to build at shares of Beyond Meat as it attempts to navigate the COVID-19 pandemic.

We're available for any questions.


Kind regards,

The Valuentum Team
info@valuentum.com

Please note that with options trading, investors can lose their entire premium. Don't ever trade with money that you can't afford to lose. Valuentum is an investment research publisher and accepts no liability for how readers may choose to utilize the content. By continuing with your additional options commentary membership, you accept our Terms and Conditions. If you do not agree with the Terms and Conditions, you must stop using this service and cancel your additional options commentary membership.
OPTIONS: Solar Edge Tech (SEDG)
















Image Shown: Shares of SolarEdge Technologies Inc rallied ahead of its latest earnings report, before selling off after the report in large part because the firm’s fourth quarter guidance underwhelmed lofty investor expectations. After the US election, shares of SolarEdge began recovering some lost ground, but in our view, we see significant hurdles ahead.

By Callum Turcan

November 10, 2020

Please always note the dates of the articles in the options commentary stream that follows this article. We hope you find this format helpful. Thank you!

Dear members,

Our first options idea for the month of November 2020 is put options on SolarEdge Technologies Inc (SEDG) with a $210 strike price that expire January 15, 2021. These options look attractive, but they do cost a pretty penny at ~$1,250/$1,310 per contract based on the bid/ask spread at the time of this writing.

For reference, the company operates in the photovoltaic (‘PV’) solar power space by offering a “DC optimized inverter solution” that seeks to “[maximize] power generation while lowering the cost of energy produced by the PV system, for improved return on investment” according to the company’s 2019 Annual Report. SolarEdge has other smart energy solutions as well, and the firm is in the process of launching new offerings though those activities have hit hurdles recently.

SolarEdge reported earnings for the third quarter of 2020 on November 2 that saw its GAAP revenues decline by 18% year-over-year as its GAAP operating income fell by 54% year-over-year. Additionally, SolarEdge’s fourth quarter outlook underwhelmed. Back in the third quarter of 2019, SolarEdge reported $411 million in GAAP revenues. Management is guiding for SolarEdge to generate $345 million - $365 million in revenues during the fourth quarter of 2020, indicating its revenues are expected to continue facing significant headwinds going forward. During SolarEdge’s second quarter of 2020 earnings call, management noted that the coronavirus (‘COVID-19’) pandemic had negatively impacted SolarEdge’s revenues, and those headwinds carried on into the third quarter and apparently will linger on into the fourth quarter (if not longer).

Furthermore, the ongoing pandemic has negatively impacted the launch of SolarEdge’s new offerings. During SolarEdge’s third quarter of 2020 earnings call, management noted that “the global pandemic and associated travel restrictions have impacted our certification and production target dates” and that these factors “will delay the release of our residential battery by several months.” Battery shipment activities are likely to start in early-2021 according to management, instead of this year.

Looking ahead, though it appears that Democrats have retaken control of the White House (legal challenges are ongoing, however), there is a good chance that the 117th US Congress (the next meeting of Congress) may be split. Two senate races in Georgia are heading to a run-off election to held be on January 5, 2020, a vote that will likely determine which party will control the US Congress (or if it will be a split Congress). It is far from certain that the type of federal incentive packages SolarEdge would benefit from would be able to pass the 117th US Congress and get signed into law.

The large increase in SolarEdge’s stock price in 2020 appears overdone and its near-term outlook is bleak. Shares of SEDG could face significant selling pressure over the coming months.

We're available for any questions.

Kind regards,

The Valuentum Team
info@valuentum.com

Please note that with options trading, investors can lose their entire premium. Don't ever trade with money that you can't afford to lose. Valuentum is an investment research publisher and accepts no liability for how readers may choose to utilize the content. By continuing with your additional options commentary membership, you accept our Terms and Conditions. If you do not agree with the Terms and Conditions, you must stop using this service and cancel your additional options commentary membership.
OPTIONS: INO puts (follow up)
















Image Shown: Shares of Inovio Pharmaceuticals Inc surged higher during the first half of this year, largely due to investors pricing in expectations that this company’s COVID-19 vaccine candidate could prove to be successful. However, shares of Inovio began to sell off in the Summer of 2020 as other companies jumped into the race for a COVID-19 vaccine. After the US FDA suspended clinical trials in late-September, the company’s near- and medium-term outlook turned dour. Very recently, Pfizer Inc and BioNTech SE announced favorable interim data from their Phase 3 clinical trial covering their COVID-19 vaccine candidate, which further pressures Inovio’s near-term outlook. That said, we're running out of time with this option idea, and unfortunately we think it is prudent to close it in favor of future considerations.

November 10, 2020

Please always note the dates of the articles in the options commentary stream that follows this article. We hope you find this format helpful. Thank you!

Dear members,

Today, November 10, we are closing out one of our October 2020 options ideas, and that is the Inovio Pharmaceuticals Inc (INO) put options idea with a $10 strike price that expire on November 20, 2020. Shares are popping today, and there's just not enough time left, in our view, for this one to work out as planned, unfortunately.

If you recall, shares of Inovio Pharmaceuticals surged higher this year due to optimism over its ability to potentially discover a safe and viable vaccine for the coronavirus (‘COVID-19’), though clinical trials were suspended by the US Food and Drug Administration (‘FDA’) back in late-September. When Inovio reported third quarter earnings for 2020 after the market closed on November 9, the company noted it had responded to questions from the FDA and expected to hear back from the regulator later this month.

Beyond its COVID-19 vaccine candidate, Inovio has various potential treatments in different clinical trial stages, though some of those clinical trials have been delayed by the pandemic. In our view, Inovio’s near-term outlook remains dire as it appears Pfizer Inc (PFE) and BioNTech SE (BNTX) are getting a lot closer to beating Inovio in the race to discover a safe and viable COVID-19 vaccine.

On November 9, Pfizer and BioNTech announced interim data from a Phase 3 clinical trial concerning their COVID-19 vaccine candidate. In the press release Pfizer noted that its COVID-19 “vaccine candidate was found to be more than 90% effective in preventing COVID-19 in participants without evidence of prior SARS-CoV-2 infection in the first interim efficacy analysis.” Though additional observation and data is required from this study before the venture can secure regulatory approval, we applaud Pfizer and BioNTech for their efforts.

Though this options idea didn't work out as anticipated, we still believe that "a return to $5 per share might very well be in the cards." The INO put option idea still retains meaningful value, however, despite the rather large share price move November 10. Nonetheless, we believe it prudent to close the idea at this time in favor of future ideas, but we may look to consider put options on INO in the future once its rally loses momentum.

We're available for any questions.

Kind regards,

The Valuentum Team
info@valuentum.com

Please note that with options trading, investors can lose their entire premium. Don't ever trade with money that you can't afford to lose. Valuentum is an investment research publisher and accepts no liability for how readers may choose to utilize the content. By continuing with your additional options commentary membership, you accept our Terms and Conditions. If you do not agree with the Terms and Conditions, you must stop using this service and cancel your additional options commentary membership.
OPTIONS: Commentary Archives
"What if I told you that almost everything you know about finance is wrong? The book Value Trap is the finance and valuation course you didn't get in school," President of Investment Research at Valuentum Brian Nelson says. "The field needs to be almost entirely redefined in a forward-looking manner. Historical data is useless when it comes to asset pricing. It is future expectations that matter. In the age of Big Data, there may be no better book to guide investors than Value Trap."
----------------------------------------------------------------------------------
Required Disclaimers
  
Options trading has large potential rewards, but also large potential risk. You must be aware of the risks and be willing to accept them in order to invest in the futures and options markets. Don't trade with money you can't afford to lose. This email/website is neither a solicitation nor an offer to buy or sell options. No representation is being made that any account will or is likely to achieve profits or losses similar to those discussed on this website. The past performance of any trading system or methodology is not necessarily indicative of future results.

HYPOTHETICAL PERFORMANCE RESULTS HAVE MANY INHERENT LIMITATIONS, SOME OF WHICH ARE DESCRIBED BELOW. NO REPRESENTATION IS BEING MADE THAT ANY ACCOUNT WILL OR IS LIKELY TO ACHIEVE PROFITS OR LOSSES SIMILAR TO THOSE SHOWN. IN FACT, THERE ARE FREQUENTLY SHARP DIFFERENCES BETWEEN HYPOTHETICAL PERFORMANCE RESULTS AND THE ACTUAL RESULTS SUBSEQUENTLY ACHIEVED BY ANY PARTICULAR TRADING PROGRAM. ONE OF THE LIMITATIONS OF HYPOTHETICAL PERFORMANCE RESULTS IS THAT THEY ARE GENERALLY PREPARED WITH THE BENEFIT OF HINDSIGHT. IN ADDITION, HYPOTHETICAL TRADING DOES NOT INVOLVE FINANCIAL RISK, AND NO HYPOTHETICAL TRADING RECORD CAN COMPLETELY ACCOUNT FOR THE IMPACT OF FINANCIAL RISK IN ACTUAL TRADING. FOR EXAMPLE, THE ABILITY TO WITHSTAND LOSSES OR ADHERE TO A PARTICULAR TRADING PROGRAM IN SPITE OF TRADING LOSSES ARE MATERIAL POINTS WHICH CAN ALSO ADVERSELY AFFECT ACTUAL TRADING RESULTS. THERE ARE NUMEROUS OTHER FACTORS RELATED TO THE MARKETS IN GENERAL OR TO THE IMPLEMENTATION OF ANY SPECIFIC TRADING PROGRAM WHICH CANNOT BE FULLY ACCOUNTED FOR IN THE PREPARATION OF HYPOTHETICAL PERFORMANCE RESULTS AND ALL OF WHICH CAN ADVERSELY AFFECT ACTUAL TRADING RESULTS.

These results are based on hypothetical or simulated performance results that have certain inherent limitations. Unlike the results shown in an actual performance record, these results do not represent actual trading. Also, because these trades have not actually been executed, these results may have under- or over-compensated for the impact, if any, of certain market factors, such as lack of liquidity. Hypothetical or simulated trading programs in general are also subject to the fact that they are designed with the benefit of hindsight. No representation is being made that any account will or is likely to achieve profits or losses similar to these being shown.

Be sure to read the OCC's Characteristics and Risks of Standardized Options here to learn more about options trading.
Contact Us

Valuentum Securities, Inc.
info@valuentum.com
www.valuentum.com
----------------------------------------------------------------------------------
This email, its contents, and the reports or articles (links) or comments referenced or attached in this email are for information purposes only and should not be considered a solicitation to buy or sell any security. Valuentum is not responsible for any errors or omissions or for results obtained from the use of the reports, articles, Best Ideas Newsletter, Dividend Growth Newsletter, Valuentum Exclusive publication, or any other communication and accepts no liability for how readers may choose to utilize the content. Assumptions, opinions, and estimates are based on our judgment as of the date of the reports or articles and are subject to change without notice. For more information about Valuentum and the products and services it offers, please contact us at info@valuentum.com. The Best Ideas Newsletter portfolio and Dividend Growth Newsletter portfolio are not real money portfolios. Any performance, including that in the Valuentum Exclusive publication, is hypothetical and does not represent actual trading. Past simulated performance, back-tested or walk-forward or other, is not a guarantee of future results. Valuentum is not a money manager, is not a registered investment advisor, and does not offer brokerage or investment banking services. Valuentum is an investment research publishing company. No warranty or guarantee may be created or extended by sales or promotional materials, whether by email or in any other format. Further, this e-mail and attachments relating thereto, is intended for the abovementioned recipient. If you have received this e-mail in error, kindly notify the sender and delete it immediately as it contains information relating to the official business of Valuentum Securities Inc, which is confidential, legally privileged and proprietary to Valuentum Securities Inc.