Read Papers from the:

Recent Collection Honoring Dr. Gary McGuire’s Research and Leadership as Editor of the Journal of Vacuum Science & Technology for Three Decades

Read the Full Collection for FREE for a Limited Time!

High sensitivity CIP2A detection for oral cancer using a rapid transistor-based biosensor module

Minghan Xian, Jenna L. Stephany, Chan-Wen Chiu, Chao-Ching Chiang, Fan Ren, Cheng-Tse Tsai, Siang-Sin Shan, Yu-Te Liao, Josephine F. Esquivel-Upshaw, and Stephen J. Pearton

JVST B 41, 013201 (2023); https://doi.org/10.1116/6.0002175

Measuring and understanding the nanomechanical properties of halide perovskites and their correlation to structure—A perspective

Irit Rosenhek-Goldian, David Cahen, and Sidney R. Cohen

JVST B 41, 058501 (2023); https://doi.org/10.1116/6.0002794

Noise reduction and peak detection in x-ray diffraction data by linear and nonlinear methods

Long V. Le, Jeroen A. Deijkers, Young D. Kim, Haydn N. G. Wadley, and David E. Aspnes

JVST B 41, 044004 (2023); https://doi.org/10.1116/6.0002526

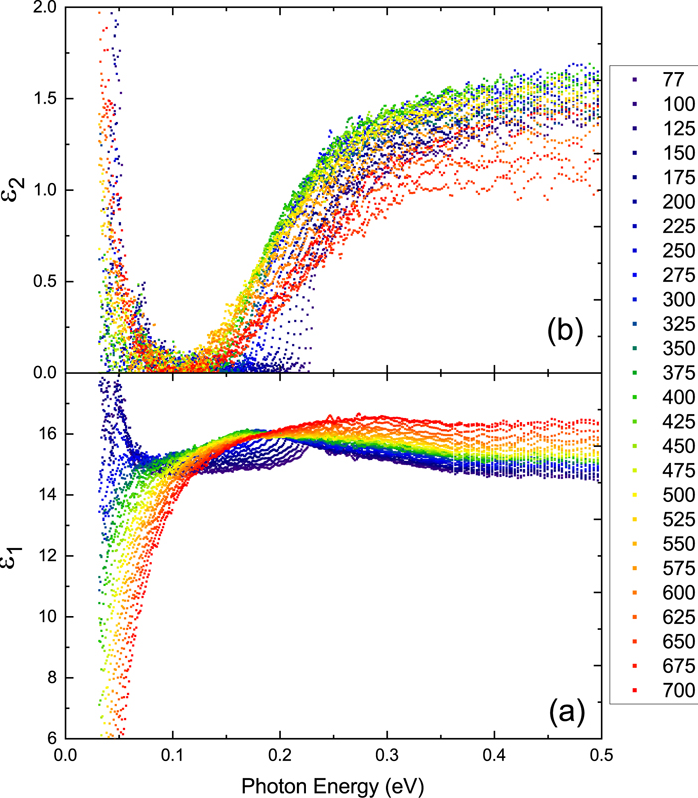
Temperature dependence of the infrared dielectric function and the direct bandgap of InSb from 80 to 725 K

Melissa Rivero Arias, Carlos A. Armenta, Carola Emminger, Cesy M. Zamarripa, Nuwanjula S. Samarasingha, Jaden R. Love, Sonam Yadav, and Stefan Zollner

JVST B 41, 022203 (2023); https://doi.org/10.1116/6.0002326

Optical and electronic spin properties of fluorescent micro- and nanodiamonds upon prolonged ultrahigh-temperature annealing

Nicholas Nunn, Sergey Milikisiyants, Marco D. Torelli, Richard Monge, Tom Delord, Alexander I. Shames, Carlos A. Meriles, Ashok Ajoy, Alex I. Smirnov, and Olga A. Shenderova

JVST B 41, 042206 (2023); https://doi.org/10.1116/6.0002797

Ohmic contact structures on β-Ga2O3 with n+ β-Ga2O3 pulsed laser deposition layers

Elizabeth V. Favela, Hyung Min Jeon, Kevin D. Leedy, Kun Zhang, Szu-Wei Tung, Francelia Sanchez Escobar, C. V. Ramana, and Lisa M. Porter

JVST B 41, 032205 (2023); https://doi.org/10.1116/6.0002620

Evaluation of dry stored disposable sensor strip on rapid SARS-CoV-2 detection platform

Chao-Ching Chiang, Chan-Wen Chiu, Fan Ren, Cheng-Tse Tsai, Yu-Te Liao, Josephine F. Esquivel-Upshaw, Stephen J. Pearton

JVST B 41, 012204 (2023); https://doi.org/10.1116/6.0002293

- PUBLISHED BY -

X  Facebook  Linkedin  Instagram  Youtube